Open Access

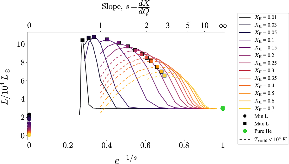
Fig. 5.

image

Download original image

Variation in the luminosity as a function of slope s for different values of XH for Z = 0.008. The parameter Mtot is fixed to 5 M. The abscissa goes from a fully chemically homogeneous model (s = 0) to a pure-He model (s = ∞). The minimum and maximum luminosities for a given total mass and surface XH are marked by coloured dots and squares, respectively. The green dot indicates the luminosity of the 5 M pure-He model.

Current usage metrics show cumulative count of Article Views (full-text article views including HTML views, PDF and ePub downloads, according to the available data) and Abstracts Views on Vision4Press platform.

Data correspond to usage on the plateform after 2015. The current usage metrics is available 48-96 hours after online publication and is updated daily on week days.

Initial download of the metrics may take a while.