Open Access

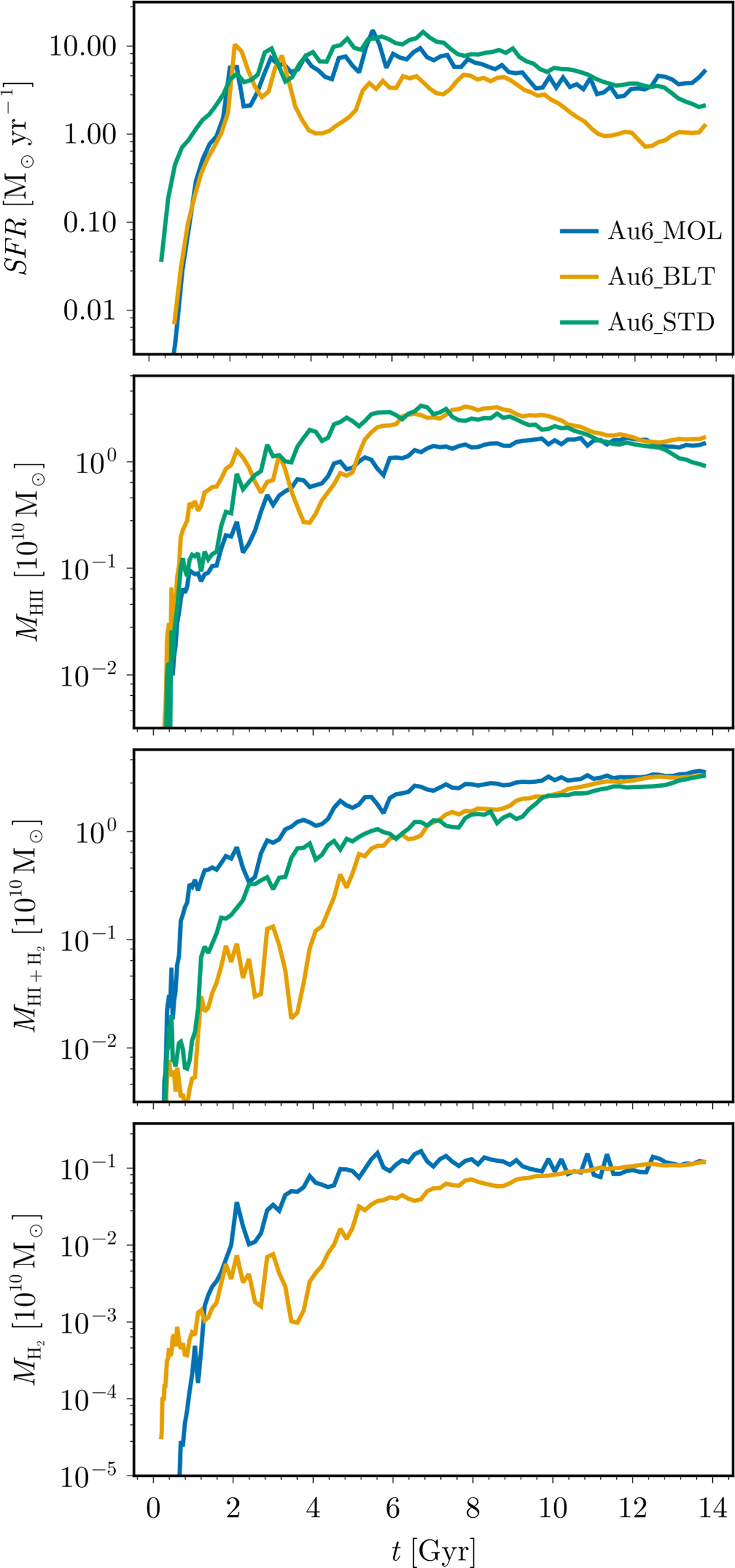
Fig. 12

image

Download original image

Comparison of the SFR and evolution of the gas mass in the ionised, neutral, and molecular components between the three simulations with different SF laws: Au6_MOL (our model), Au6_BL (an alternative H2-based SF law), and Au6_STD (the standard AREPO implementation, where SF is linked to the total gas density). Only gas cells within a sphere with r=40 ckpc are considered.

Current usage metrics show cumulative count of Article Views (full-text article views including HTML views, PDF and ePub downloads, according to the available data) and Abstracts Views on Vision4Press platform.

Data correspond to usage on the plateform after 2015. The current usage metrics is available 48-96 hours after online publication and is updated daily on week days.

Initial download of the metrics may take a while.