Open Access

Fig. 3.

image

Download original image

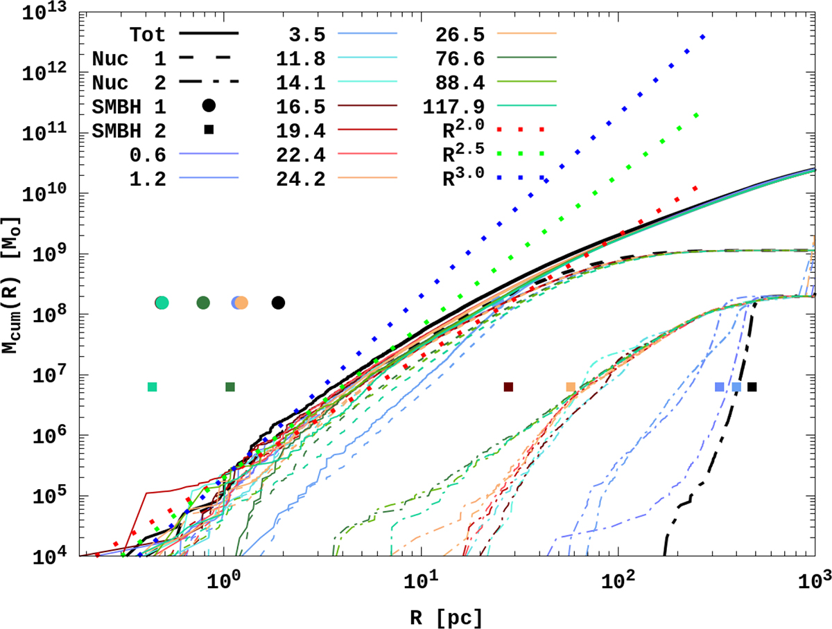
Evolution of the total cumulative mass distribution (black lines for the initial masses), for the bound stage (blue shaded lines), for the merged stage (red shaded lines), and post-Newtonian phase (green shaded lines) for model Brnd2. The labels on the shades besides black represent the passed time in the simulation in Myr.

Current usage metrics show cumulative count of Article Views (full-text article views including HTML views, PDF and ePub downloads, according to the available data) and Abstracts Views on Vision4Press platform.

Data correspond to usage on the plateform after 2015. The current usage metrics is available 48-96 hours after online publication and is updated daily on week days.

Initial download of the metrics may take a while.