Open Access

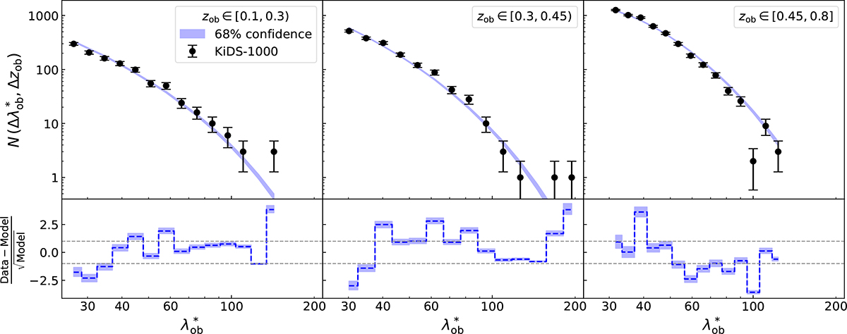
Fig. 10.

image

Download original image

Top panels: Counts of the AMICO KiDS-1000 galaxy clusters in the redshift bins adopted in the analysis (increasing from left to right). The black dots show the measures, with the error bars corresponding to Poisson uncertainties. The blue bands display the 68% confidence levels of the model, derived from the posterior of all the free parameters considered in the joint analysis of counts and weak lensing. Bottom panels: Pearson residuals. The horizontal dashed grey lines show the interval between −1 and 1.

Current usage metrics show cumulative count of Article Views (full-text article views including HTML views, PDF and ePub downloads, according to the available data) and Abstracts Views on Vision4Press platform.

Data correspond to usage on the plateform after 2015. The current usage metrics is available 48-96 hours after online publication and is updated daily on week days.

Initial download of the metrics may take a while.