Open Access

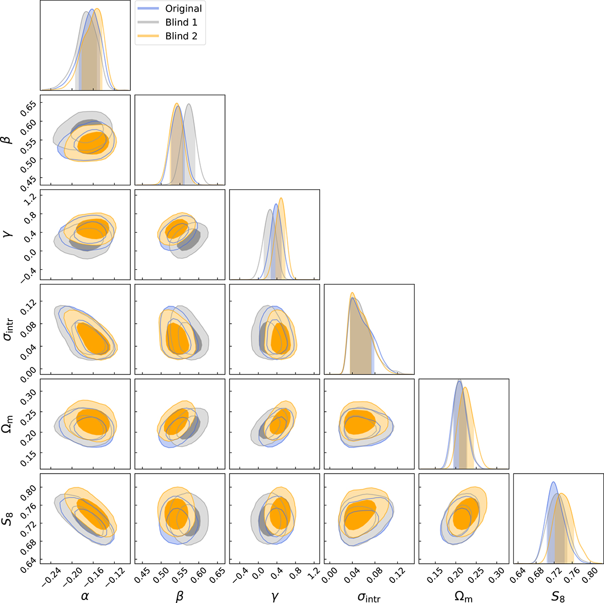
Fig. B.1.

image

Download original image

Parameter constraints obtained by using the original (blue), Blind 1 (grey), and Blind 2 (orange) versions of the sample completeness. The confidence contours correspond to 68% and 95%, while the bands over the 1D marginalised posteriors represent the interval between 16th and 84th percentiles.

Current usage metrics show cumulative count of Article Views (full-text article views including HTML views, PDF and ePub downloads, according to the available data) and Abstracts Views on Vision4Press platform.

Data correspond to usage on the plateform after 2015. The current usage metrics is available 48-96 hours after online publication and is updated daily on week days.

Initial download of the metrics may take a while.