Open Access

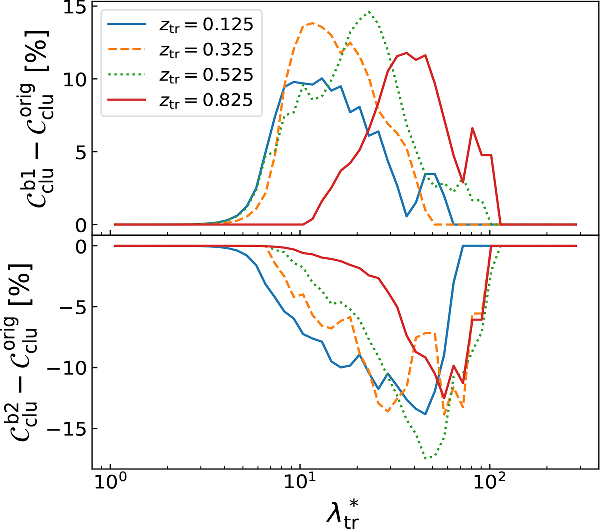
Fig. B.2.

image

Download original image

Differences between the original cluster completeness and those in Blind 1 (top panel) and Blind 2 (bottom panel) cases, for different true redshift values (see the legend) and as a function of the true intrinsic richness.

Current usage metrics show cumulative count of Article Views (full-text article views including HTML views, PDF and ePub downloads, according to the available data) and Abstracts Views on Vision4Press platform.

Data correspond to usage on the plateform after 2015. The current usage metrics is available 48-96 hours after online publication and is updated daily on week days.

Initial download of the metrics may take a while.