Open Access

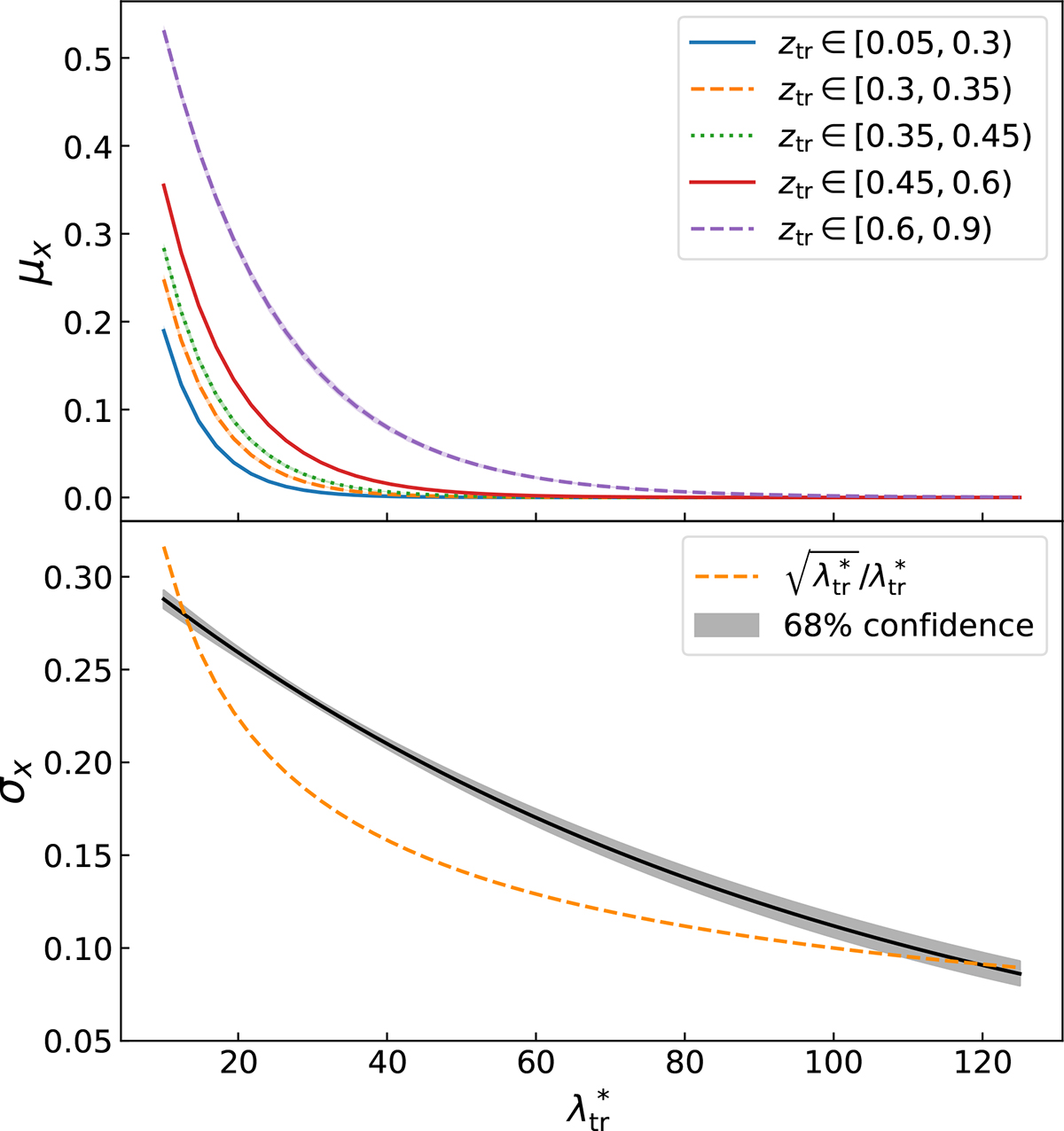
Fig. 3.

image

Download original image

Top panel: Mean of P(x | λtr*, ztr), namely μx, as a function of λtr* and in different bins of ztr (see legend). Bottom panel: Grey band represents the 68% confidence level of the σx model, while the dashed orange line shows the Poisson relative uncertainty on λtr*.

Current usage metrics show cumulative count of Article Views (full-text article views including HTML views, PDF and ePub downloads, according to the available data) and Abstracts Views on Vision4Press platform.

Data correspond to usage on the plateform after 2015. The current usage metrics is available 48-96 hours after online publication and is updated daily on week days.

Initial download of the metrics may take a while.