Open Access

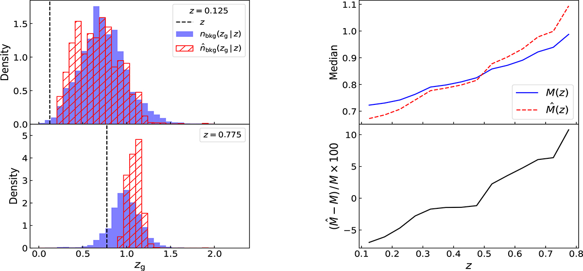
Fig. 8.

image

Download original image

Differences between the uncalibrated, n ̂ ( z g | z ) $ \hat{n}(z_{\mathrm{g}}\,|\,z) $, and the SOM-weighted, n(zg | z), background redshift distributions. Left panels: n(zg | z) (blue histograms) and n ̂ ( z g | z ) $ \hat{n}(z_{\mathrm{g}}\,|\,z) $ (red hatched histograms) for z = 0.125 (top) and z = 0.775 (bottom). The vertical dashed black lines represent the cluster redshifts. Right panels: In the top subpanel, the median values of n(zg | z) (solid blue curve) and n ̂ ( z g | z ) $ \hat{n}(z_{\mathrm{g}}\,|\,z) $ (dashed red curve), namely M and M ̂ $ \hat{M} $, respectively, are shown. The percentage differences between them are displayed in the bottom subpanel.

Current usage metrics show cumulative count of Article Views (full-text article views including HTML views, PDF and ePub downloads, according to the available data) and Abstracts Views on Vision4Press platform.

Data correspond to usage on the plateform after 2015. The current usage metrics is available 48-96 hours after online publication and is updated daily on week days.

Initial download of the metrics may take a while.