Open Access

Fig. 9.

image

Download original image

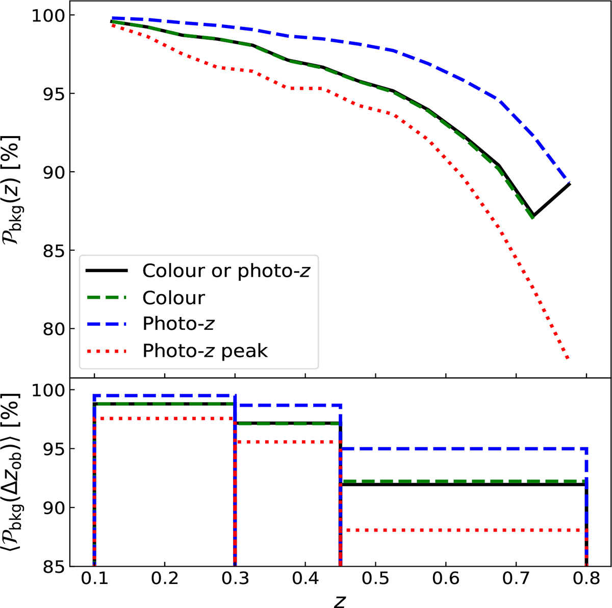
Top panel: Background selection purity as a function of the cluster redshift. Bottom panel: Effective selection purity averaged over the cluster redshift distribution, in the cluster redshift bins z ∈ [0.1, 0.3), z ∈ [0.3, 0.45), and z ∈ [0.45, 0.8]. In both panels, the symbols are the same as those in Fig. 7. The black and green curves are almost overlapping.

Current usage metrics show cumulative count of Article Views (full-text article views including HTML views, PDF and ePub downloads, according to the available data) and Abstracts Views on Vision4Press platform.

Data correspond to usage on the plateform after 2015. The current usage metrics is available 48-96 hours after online publication and is updated daily on week days.

Initial download of the metrics may take a while.