Open Access

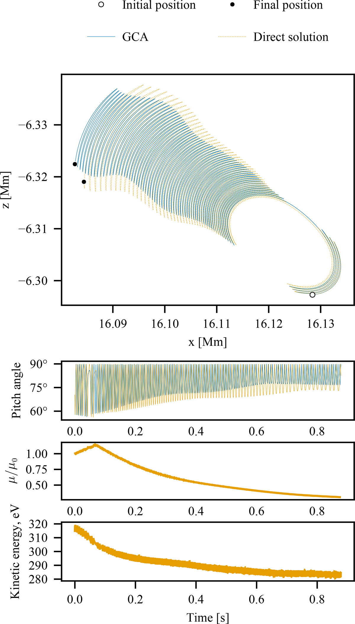
Fig. 11.

image

Download original image

Comparison between the GCA and a direct solution to the Lorentz equation. The blue GCA trajectory is the same as in Fig. 6, and the orange trajectory is its equivalent full orbit. The lower panels show the pitch angle time evolution for both methods, as well as the time evolution of the magnetic moment (relative to the initial magnetic moment) and the kinetic energy for the direct solution.

Current usage metrics show cumulative count of Article Views (full-text article views including HTML views, PDF and ePub downloads, according to the available data) and Abstracts Views on Vision4Press platform.

Data correspond to usage on the plateform after 2015. The current usage metrics is available 48-96 hours after online publication and is updated daily on week days.

Initial download of the metrics may take a while.