Open Access

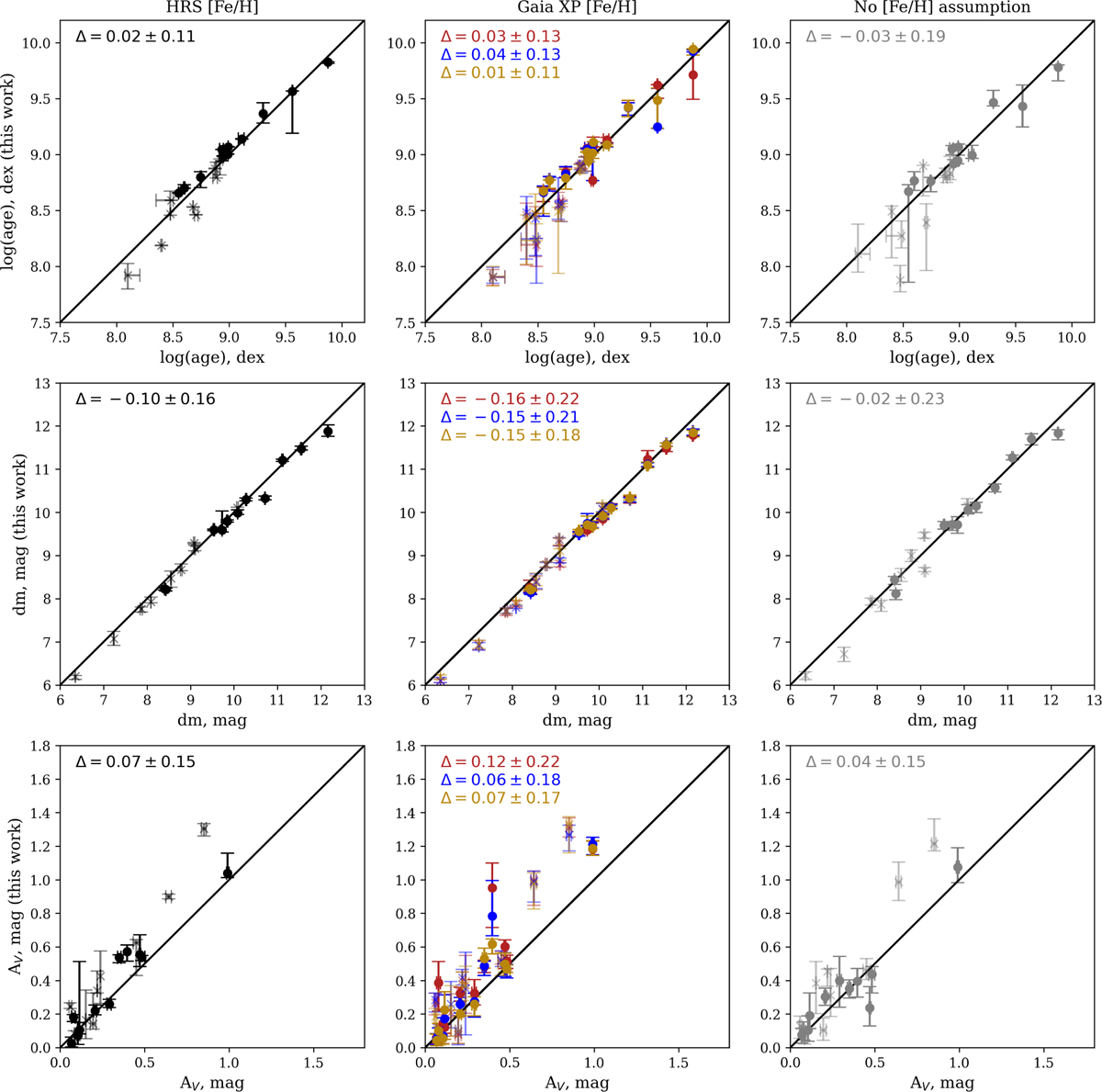
Fig. 6

image

Download original image

Parameter estimates for age, distance modulus and extinction (rows, Y axis) of the OCs determined with different [Fe/H] prior information (columns) compared to those from B19 on the X axis. The red, blue, and yellow colours correspond to runs with metallicity prior based on ARC, ZGR and FS catalogues, respectively, whereas black and grey symbols, respectively, depict the runs with the fixed HRS [Fe/H] prior and no prior at all. The legend in the upper corner of the figures shows the median absolute difference and the RMSD of the respective parameter. The OCs with three or fewer RGB stars are marked with an X symbol.

Current usage metrics show cumulative count of Article Views (full-text article views including HTML views, PDF and ePub downloads, according to the available data) and Abstracts Views on Vision4Press platform.

Data correspond to usage on the plateform after 2015. The current usage metrics is available 48-96 hours after online publication and is updated daily on week days.

Initial download of the metrics may take a while.