Open Access

Fig. A.2

image

Download original image

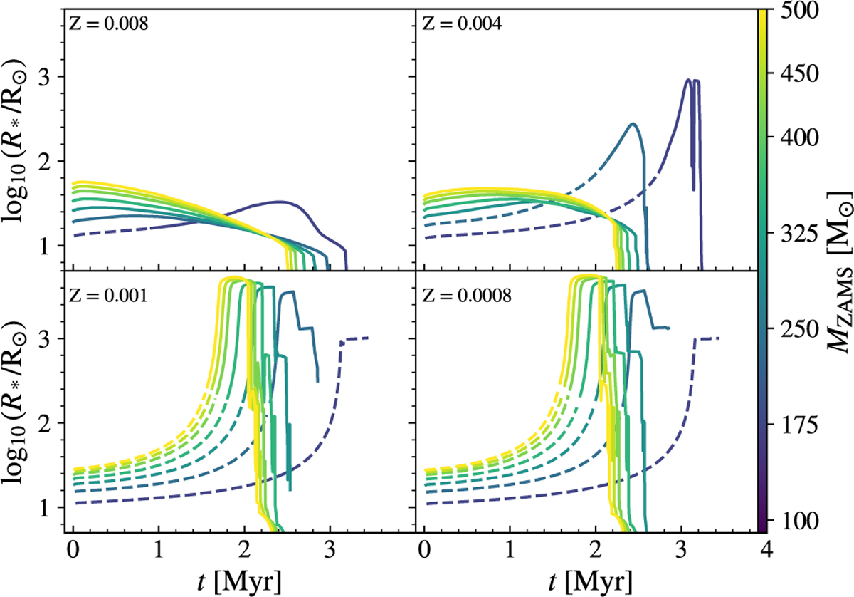
Time evolution of the radius. We report four selected metallicities: Z = 0.008, 0.004, 0.001, and 0.0008. The solid lines show the evolutionary phase in which the stars enter the optically thick regime (ΓEdd > ΓEdd,tr), while the dashed lines represent the optically thin phase of stellar winds.

Current usage metrics show cumulative count of Article Views (full-text article views including HTML views, PDF and ePub downloads, according to the available data) and Abstracts Views on Vision4Press platform.

Data correspond to usage on the plateform after 2015. The current usage metrics is available 48-96 hours after online publication and is updated daily on week days.

Initial download of the metrics may take a while.