Open Access

Fig. 8

image

Download original image

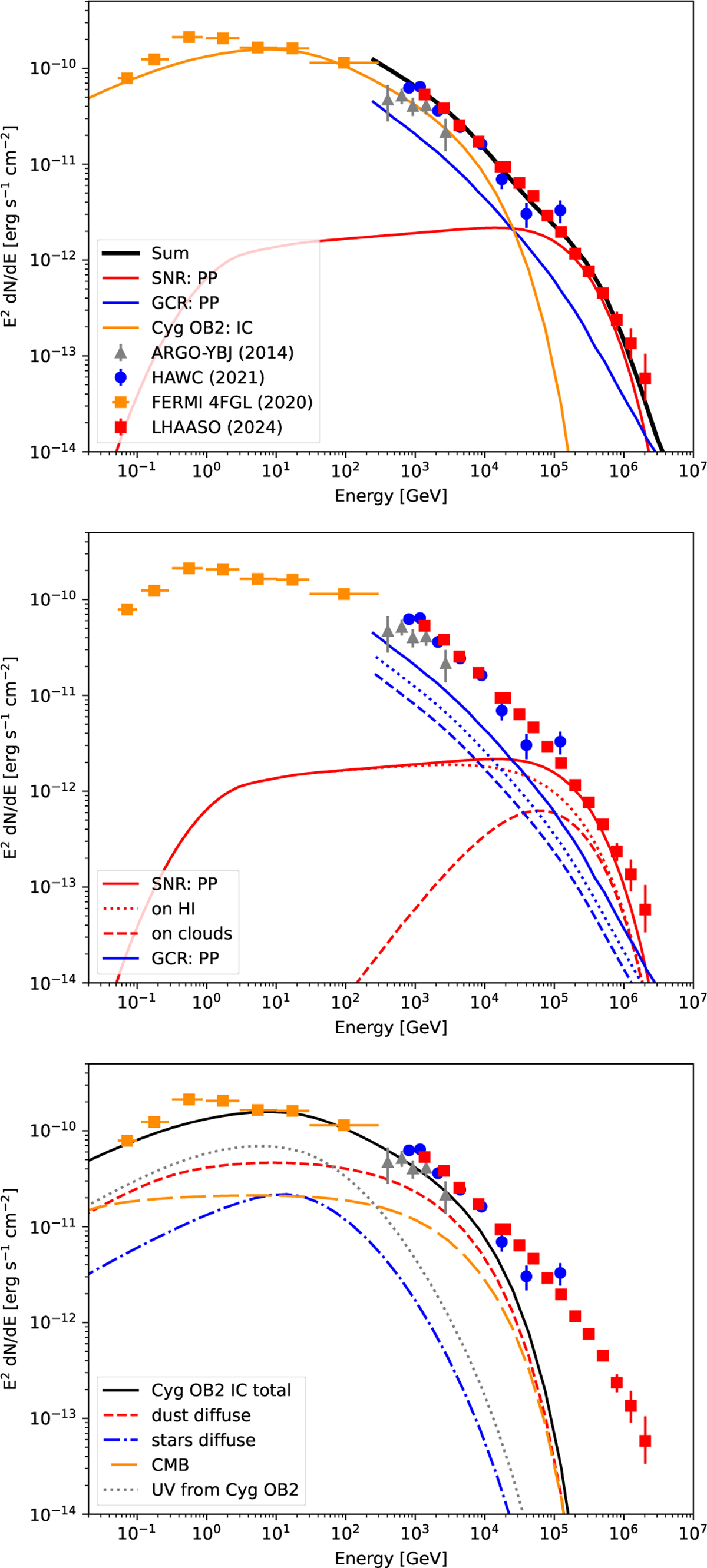
Preferred model for the region-integrated γ-ray spectrum consisting of hadronic emission from a 50 kyr-old supernova remnant along with inverse Compton emission from electrons accelerated at stellar-wind termination shocks in Cygnus OB2. The top panel shows both components in red and yellow as well as emission from diffuse galactic cosmic rays in blue. Diffuse galactic cosmic rays are only shown above 300 GeV since they are included in the Fermi-LAT background model. The middle panel shows hadronic model components. The lower panel shows contributions from inverse Compton scattering on individual photon fields. The data are from ARGO-YBJ Collaboration (2014), Abeysekara et al. (2021), Abdollahi et al. (2020), and LHAASO Collaboration (2024a).

Current usage metrics show cumulative count of Article Views (full-text article views including HTML views, PDF and ePub downloads, according to the available data) and Abstracts Views on Vision4Press platform.

Data correspond to usage on the plateform after 2015. The current usage metrics is available 48-96 hours after online publication and is updated daily on week days.

Initial download of the metrics may take a while.