Open Access

Fig. 6

image

Download original image

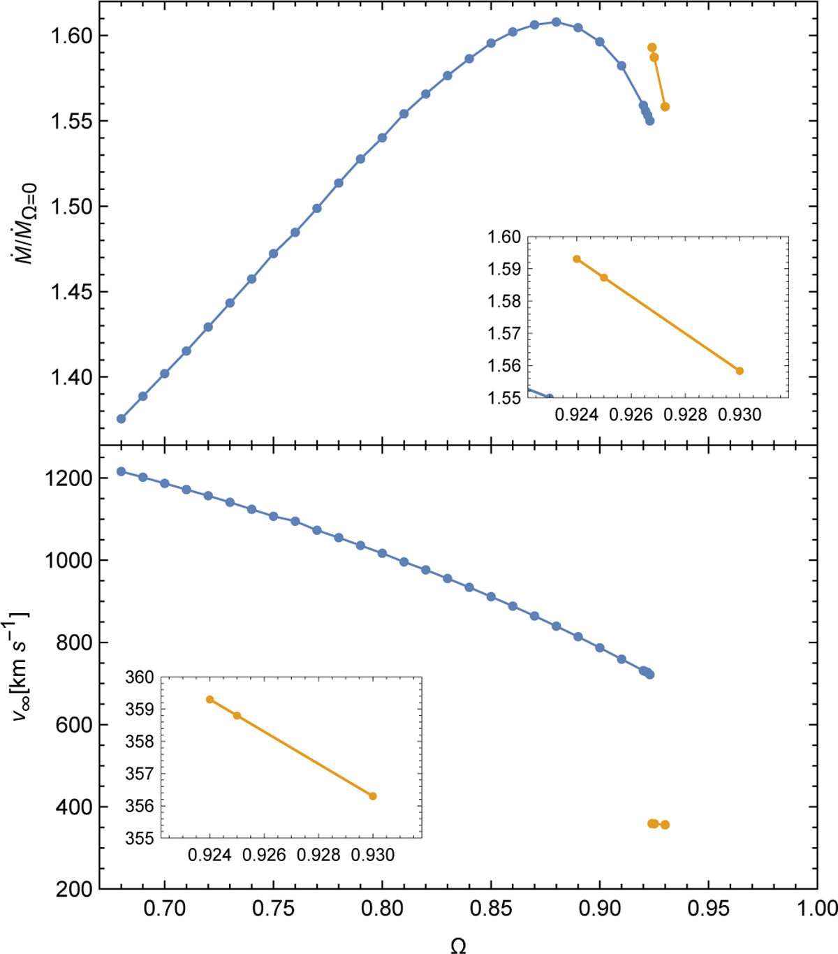
Combined GD and oblateness effects in the B0 IV model. The upper panel shows the mass-loss rates, and the lower panel shows the terminal velocities as a function of the rotation parameter Ω. The inset panels provide a magnified view highlighting the region corresponding to the Ω-slow wind solutions.

Current usage metrics show cumulative count of Article Views (full-text article views including HTML views, PDF and ePub downloads, according to the available data) and Abstracts Views on Vision4Press platform.

Data correspond to usage on the plateform after 2015. The current usage metrics is available 48-96 hours after online publication and is updated daily on week days.

Initial download of the metrics may take a while.