Open Access

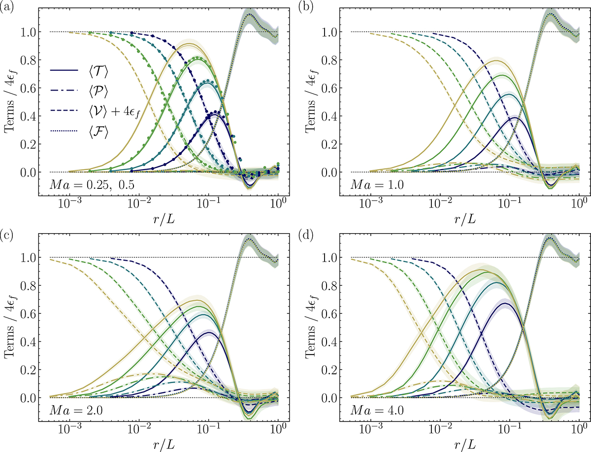
Fig. 8.

image

Download original image

Scale-by-scale kinetic energy budgets Eq. (8) from sub- to supersonic conditions. The different terms of the KHM equation are normalised by 4ϵf while the separation is divided by L ≡ 1. The colour code is same as in Fig. 7a. The shaded regions represent the statistical error. Panel (a) is for Ma = 0.25 and Ma = 0.5, the symbols are the results obtained from an incompressible code. Panel (b), (c) and (d) are for Ma = 1, Ma = 2 and Ma = 4, respectively.

Current usage metrics show cumulative count of Article Views (full-text article views including HTML views, PDF and ePub downloads, according to the available data) and Abstracts Views on Vision4Press platform.

Data correspond to usage on the plateform after 2015. The current usage metrics is available 48-96 hours after online publication and is updated daily on week days.

Initial download of the metrics may take a while.