Open Access

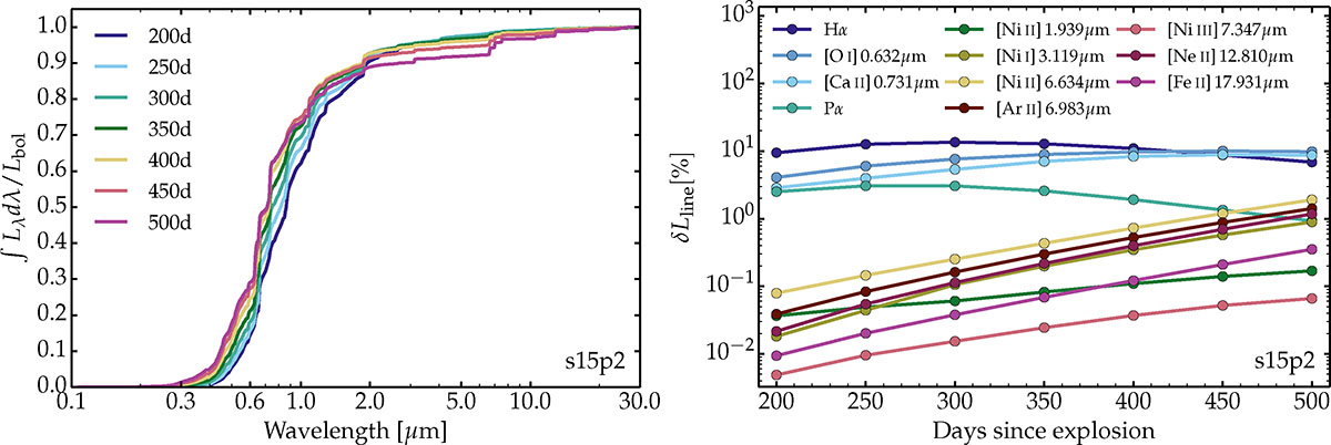
Fig. 3.

image

Download original image

Evolution of some spectral properties for model s15p2 over the time span from 200 to 500 d after explosion. We show the evolution of the cumulative flux integrated from 0.1 to 30.0 μm (left) and the evolution of the percentage, fractional luminosity relative to the bolometric luminosity of a few strong lines in the infrared (right). (See Section 3 for discussion.)

Current usage metrics show cumulative count of Article Views (full-text article views including HTML views, PDF and ePub downloads, according to the available data) and Abstracts Views on Vision4Press platform.

Data correspond to usage on the plateform after 2015. The current usage metrics is available 48-96 hours after online publication and is updated daily on week days.

Initial download of the metrics may take a while.