Open Access

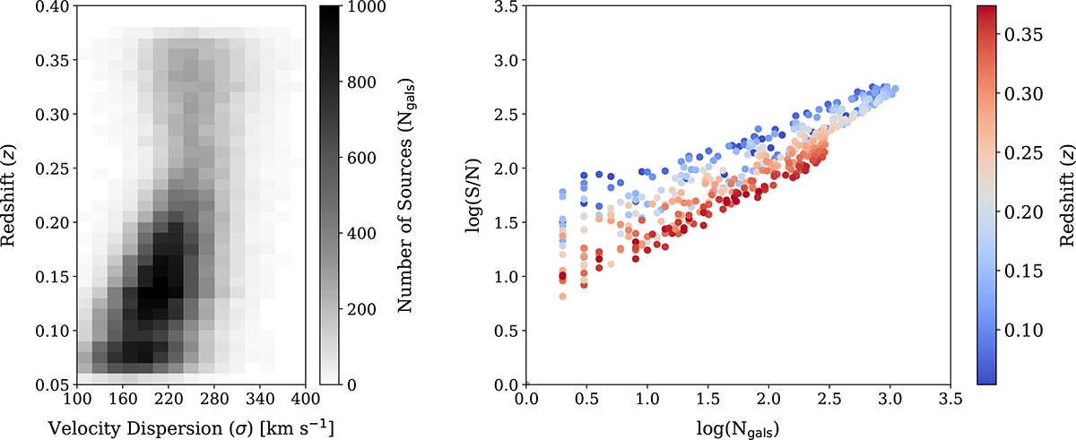
Fig. 3.

image

Download original image

Properties of the ancillary stacks. Left panel: Distribution of the number of galaxies included in the ancillary stacks defined by a linear constant spacing in both σ and z. Right panel: Relation between the S/N and the number of galaxies in each ancillary stack as a function of redshift.

Current usage metrics show cumulative count of Article Views (full-text article views including HTML views, PDF and ePub downloads, according to the available data) and Abstracts Views on Vision4Press platform.

Data correspond to usage on the plateform after 2015. The current usage metrics is available 48-96 hours after online publication and is updated daily on week days.

Initial download of the metrics may take a while.