Open Access

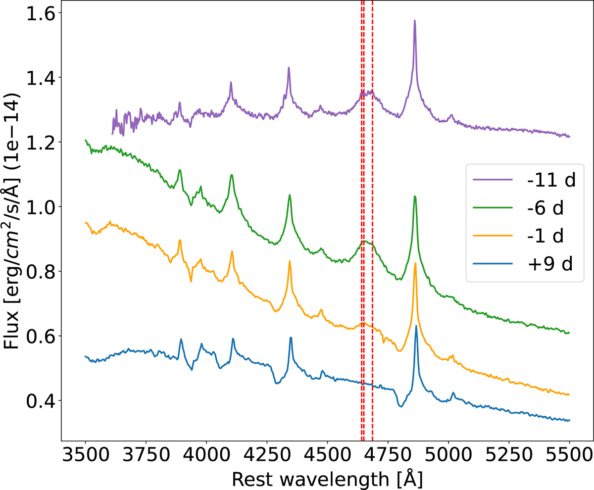
Fig. 9.

image

Download original image

Partial spectra of SN 2016cvk in four earliest B phase epochs. The blended ‘flash ionisation’ feature is shown at ∼4700 Å. The locations of the N III line at 4641 Å, C III at 4650 Å, and He II at 4686 Å are marked with red dashed lines.

Current usage metrics show cumulative count of Article Views (full-text article views including HTML views, PDF and ePub downloads, according to the available data) and Abstracts Views on Vision4Press platform.

Data correspond to usage on the plateform after 2015. The current usage metrics is available 48-96 hours after online publication and is updated daily on week days.

Initial download of the metrics may take a while.