Open Access

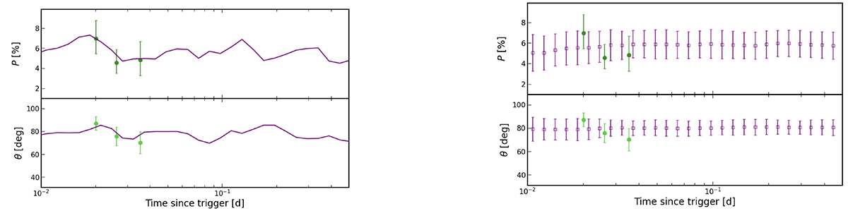
Fig. 5.

image

Download original image

Expected polarisation degree (top panel) and position angle (bottom panel) time evolution for a globally ordered plus large-scale turbulent magnetic field configuration in the R band (purple line), compared with GRB 240419A observations. The values were calculated with one (left) or averaging over 100 (right) realisation sets of random numbers for the turbulence generation.

Current usage metrics show cumulative count of Article Views (full-text article views including HTML views, PDF and ePub downloads, according to the available data) and Abstracts Views on Vision4Press platform.

Data correspond to usage on the plateform after 2015. The current usage metrics is available 48-96 hours after online publication and is updated daily on week days.

Initial download of the metrics may take a while.