Open Access

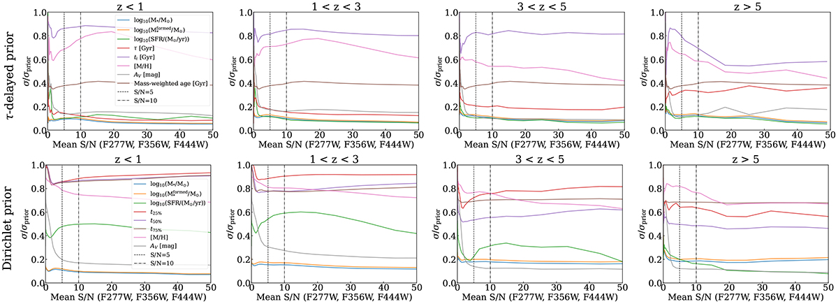
Fig. C.1.

image

Download original image

Posterior widths for each property. The average ratio of the posterior standard deviation (obtained with 500 samples) and the prior standard deviation for parameters using a τ-delayed (top row) and Dirichlet (bottom row) prior for the SFHs. This is calculated across all the pixels for each of the 1.083 galaxies in the dataset, as a function of the average S/N in filters F277W, F356W, and F444W, at different redshift bins.

Current usage metrics show cumulative count of Article Views (full-text article views including HTML views, PDF and ePub downloads, according to the available data) and Abstracts Views on Vision4Press platform.

Data correspond to usage on the plateform after 2015. The current usage metrics is available 48-96 hours after online publication and is updated daily on week days.

Initial download of the metrics may take a while.