Open Access

Fig. G.2.

image

Download original image

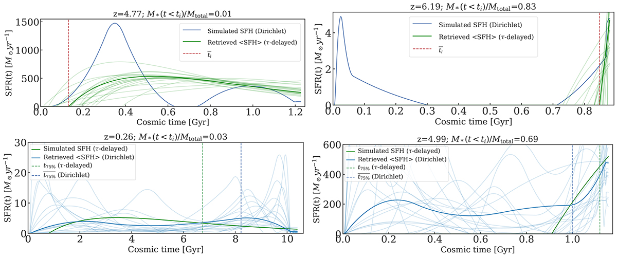
Examples of SFHs simulated and inferred with the τ-delayed and Dirichlet priors. The top row shows SFHs simulated with the Dirichlet prior (in blue), and the SFHs inferred from the posterior samples of the parameters obtained with the model trained on τ-delayed SFHs (in low-opacity green), as well as the SFH computed from the median of these posterior samples (in high-opacity green). The bottom row shows simulated τ-delayed SFHs and their corresponding Dirichlet SFHs retrieved from samples of the posterior distribution (in low-opacity blue) and from the median (in high-opacity blue). The left-hand column illustrates examples where the stellar mass estimates are accurate, and the fraction of the total stellar mass, computed from the true (inferred) Dirichlet SFH, that was formed before the inferred (true) value for ti, is close to zero. In the right-hand column, we show examples where the mass estimates are inaccurate, and a significant fraction of the mass was formed (incorrectly assumed to be formed) before the inferred (true) value of ti.

Current usage metrics show cumulative count of Article Views (full-text article views including HTML views, PDF and ePub downloads, according to the available data) and Abstracts Views on Vision4Press platform.

Data correspond to usage on the plateform after 2015. The current usage metrics is available 48-96 hours after online publication and is updated daily on week days.

Initial download of the metrics may take a while.