Open Access

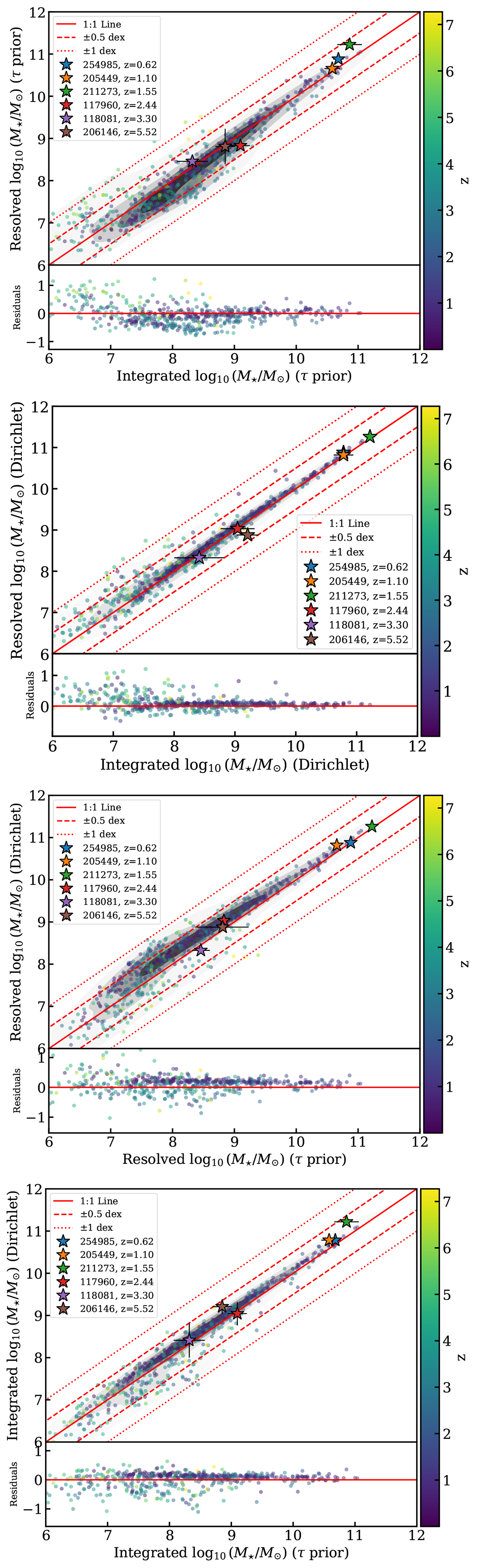
Fig. 7.

image

Download original image

Pixel-based vs the integrated estimations for the stellar masses for the τ-delayed prior for the SFHs, for the Dirichlet prior, the pixel-based stellar masses for the two different priors, and the integrated stellar masses for the two priors for 1083 galaxies (from top to bottom). Each galaxy is a different dot colour-coded with the redshift. We also show the six previously studied galaxies as stars, as well as black kernel density distribution contours, and in red the 1:1 ratio (solid line), ±0.5 dex (dashed lines), and ±1 dex (dotted lines) offsets. For clarity, only the error bars of the six galaxies are shown for both the integrated and resolved stellar masses.

Current usage metrics show cumulative count of Article Views (full-text article views including HTML views, PDF and ePub downloads, according to the available data) and Abstracts Views on Vision4Press platform.

Data correspond to usage on the plateform after 2015. The current usage metrics is available 48-96 hours after online publication and is updated daily on week days.

Initial download of the metrics may take a while.