Open Access

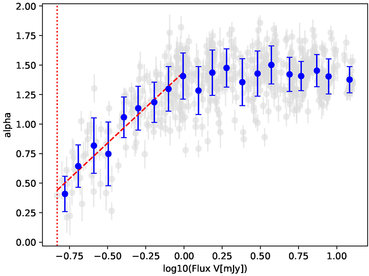
Fig. 11.

image

Download original image

Binned spectral index α vs. log10FV for the BV data. Blue symbols are the bin averages with 1σ errors; gray points are individual measurements. The dashed red line shows the weighted linear fit for log10FV ≤ 0, and the vertical red line indicates log10FV at αdisk = 0.44 (i.e., Fdisk = 0.152 mJy).

Current usage metrics show cumulative count of Article Views (full-text article views including HTML views, PDF and ePub downloads, according to the available data) and Abstracts Views on Vision4Press platform.

Data correspond to usage on the plateform after 2015. The current usage metrics is available 48-96 hours after online publication and is updated daily on week days.

Initial download of the metrics may take a while.