Open Access

Fig. A.2

image

Download original image

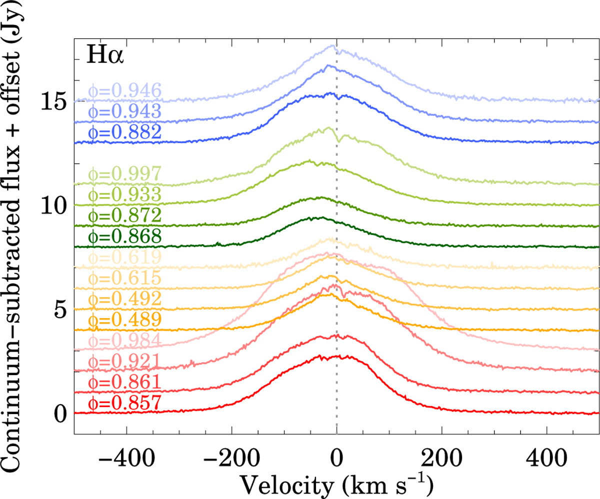
Profiles of the Hα line in DQ Tau observed with the FEROS spectrograph on the MPG 2.2m telescope. For clarity, the spectra were shifted along the y axis by +1, +2, +3, … Jy. The binary orbital phases at the time of the observations are indicated to the left.

Current usage metrics show cumulative count of Article Views (full-text article views including HTML views, PDF and ePub downloads, according to the available data) and Abstracts Views on Vision4Press platform.

Data correspond to usage on the plateform after 2015. The current usage metrics is available 48-96 hours after online publication and is updated daily on week days.

Initial download of the metrics may take a while.