Open Access

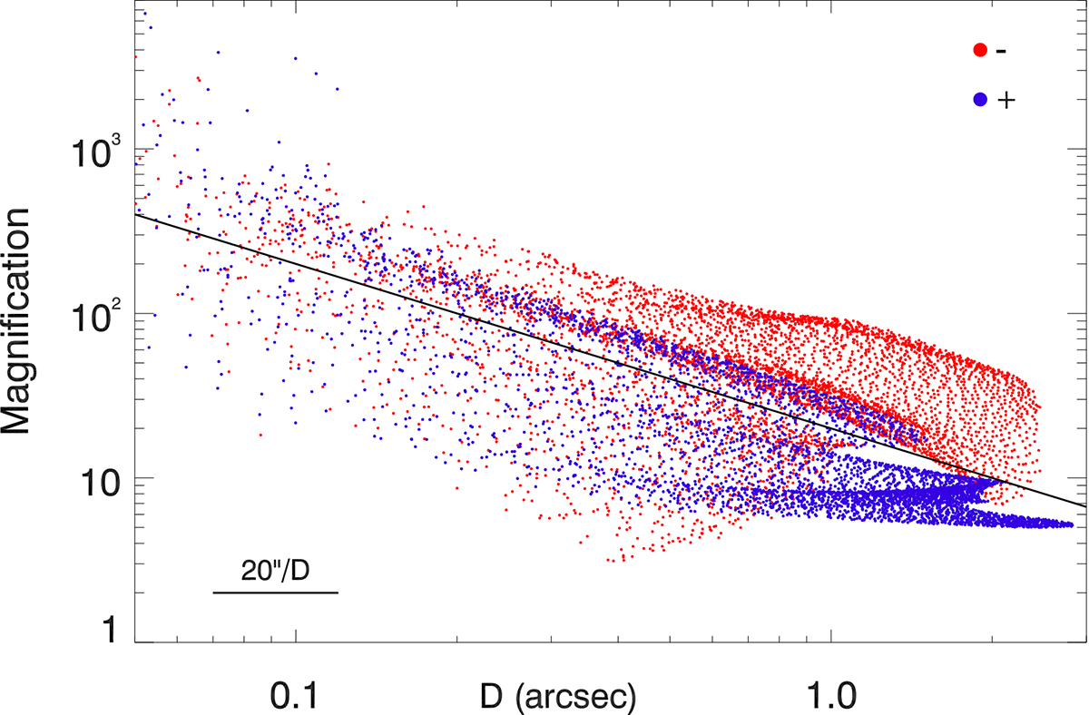
Fig. 6.

image

Download original image

Magnification versus distance for all pixels in the tail of the Dragon as a function of their distance, Dm, to the CC. Red points are for pixels with negative parity while blue dots are for pixels with positive parity. The solid line shows the model μ = A/D(″) with A = 20″. Most pixels follow similar laws but with different values of A.

Current usage metrics show cumulative count of Article Views (full-text article views including HTML views, PDF and ePub downloads, according to the available data) and Abstracts Views on Vision4Press platform.

Data correspond to usage on the plateform after 2015. The current usage metrics is available 48-96 hours after online publication and is updated daily on week days.

Initial download of the metrics may take a while.