Open Access

Fig. 4.

image

Download original image

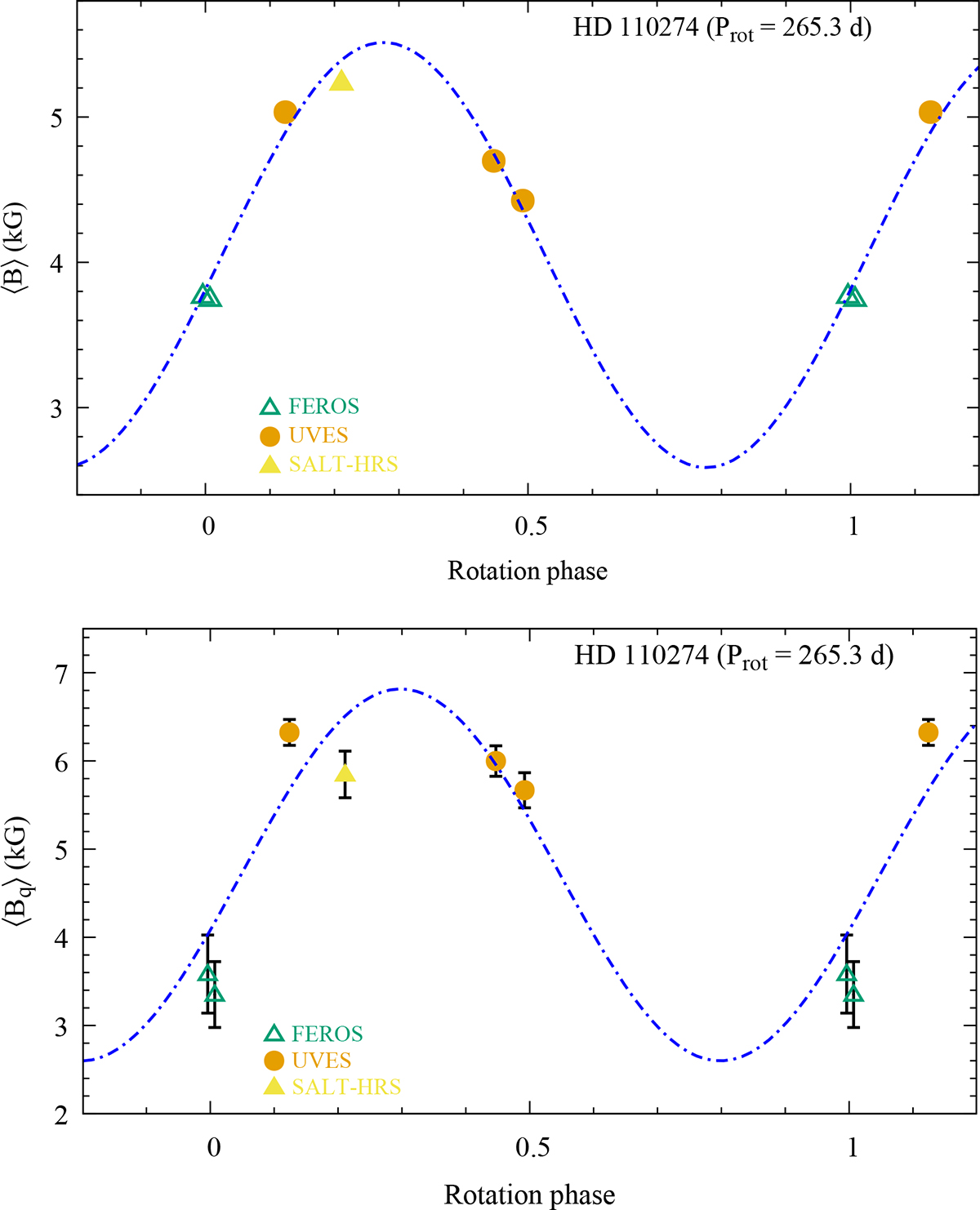
Mean magnetic field modulus (top) and mean quadratic magnetic field (bottom) of HD 110274 against rotation phase computed with the value P rot = 265 . d 3 $ P_{\mathrm{rot}}=265{{\overset{\text{d}}{.}}}3 $ of the rotation period derived by Freyhammer et al. (2008). The phase origin has been set at JD 2 454 140.0. The dash-dotted blue curve represents the least-squares fit of the measurements by a sine curve. Different point types and colours are used to distinguish the observations performed with different instruments. The size of the error bars for the ⟨B⟩ values does not exceed that of the symbols representing them.

Current usage metrics show cumulative count of Article Views (full-text article views including HTML views, PDF and ePub downloads, according to the available data) and Abstracts Views on Vision4Press platform.

Data correspond to usage on the plateform after 2015. The current usage metrics is available 48-96 hours after online publication and is updated daily on week days.

Initial download of the metrics may take a while.