Open Access

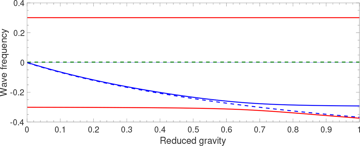
Fig. 3.

image

Download original image

Wave frequency (normalized by rotation frequency) vs dimensionless reduced gravity, gH2R2 computed from Eq. (16) at the latitude 450 of the solar tachocline for the magnetic field strength of 10 kG and the wavelength of kxR = 1. The dashed lines correspond to the solutions with αz/Ω= 0, while the solid lines show the solutions for the dynamo coefficient of αz/Ω= 0.3. The blue and green lines show the fast and slow magneto-Rossby waves, respectively. The red lines correspond to the modified dynamo waves. The Rossby waves have very low frequency for the lower value of reduced gravity. The frequency of slow magneto-Rossby waves remains low, but that of fast magneto-Rossby waves increases for the larger value of reduced gravity. When approaching the dynamo wave solution (for the reduced gravity of ∼0.5), the two waves do not cross, but rather switch properties (called the avoided crossing). High frequency inertia gravity waves are not shown in the plot.

Current usage metrics show cumulative count of Article Views (full-text article views including HTML views, PDF and ePub downloads, according to the available data) and Abstracts Views on Vision4Press platform.

Data correspond to usage on the plateform after 2015. The current usage metrics is available 48-96 hours after online publication and is updated daily on week days.

Initial download of the metrics may take a while.