Open Access

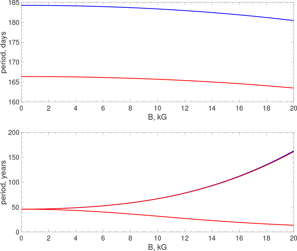
Fig. 5.

image

Download original image

Period of Rossby-dynamo waves vs magnetic field strength for the dynamo coefficient, αz/Ω, of 0.0015 and kxR = 1 computed from Eq. (16) at the latitude 300 of the solar tachocline. The blue and red lines correspond to the reduced gravity of gH2R2 = 0.085 and gH2R2 = 0.095, respectively. Lower panel: Modified dynamo waves in the magnetic field interval of 0–20 kG, on a solar cycle timescale of 15–45 years. The two solutions of modified dynamo waves correspond to a solar cycle timescale of 15–45 years (lower solution) and to Gleisberg cycle timescales of 45–160 years. Upper panel: Modified fast magneto-Rossby waves in the same interval of magnetic field strength on Rieger cycle timescales of 165–185 days.

Current usage metrics show cumulative count of Article Views (full-text article views including HTML views, PDF and ePub downloads, according to the available data) and Abstracts Views on Vision4Press platform.

Data correspond to usage on the plateform after 2015. The current usage metrics is available 48-96 hours after online publication and is updated daily on week days.

Initial download of the metrics may take a while.