Open Access

Fig. 11

image

Download original image

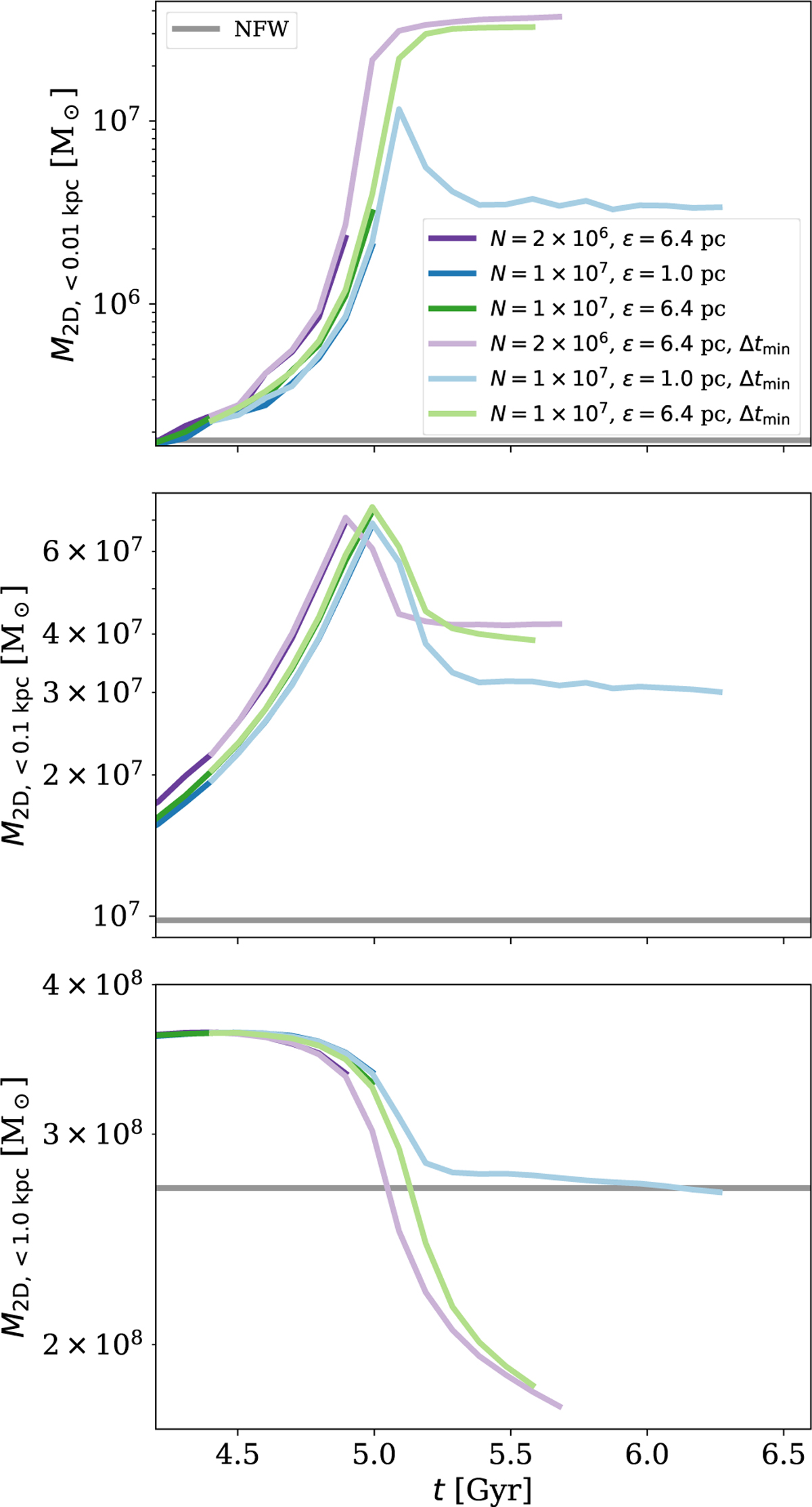
Enclosed mass within several radii as a function of time. The results are shown for simulations with the standard time step criterion (darker curves) and those employing a minimum time step (lighter curves). The three panels give the enclosed mass within different radii for the same simulations, as shown in Fig. 7. Moreover, we show the enclosed mass for the initial NFW halo as a reference (grey).

Current usage metrics show cumulative count of Article Views (full-text article views including HTML views, PDF and ePub downloads, according to the available data) and Abstracts Views on Vision4Press platform.

Data correspond to usage on the plateform after 2015. The current usage metrics is available 48-96 hours after online publication and is updated daily on week days.

Initial download of the metrics may take a while.