Open Access

Fig. 4

image

Download original image

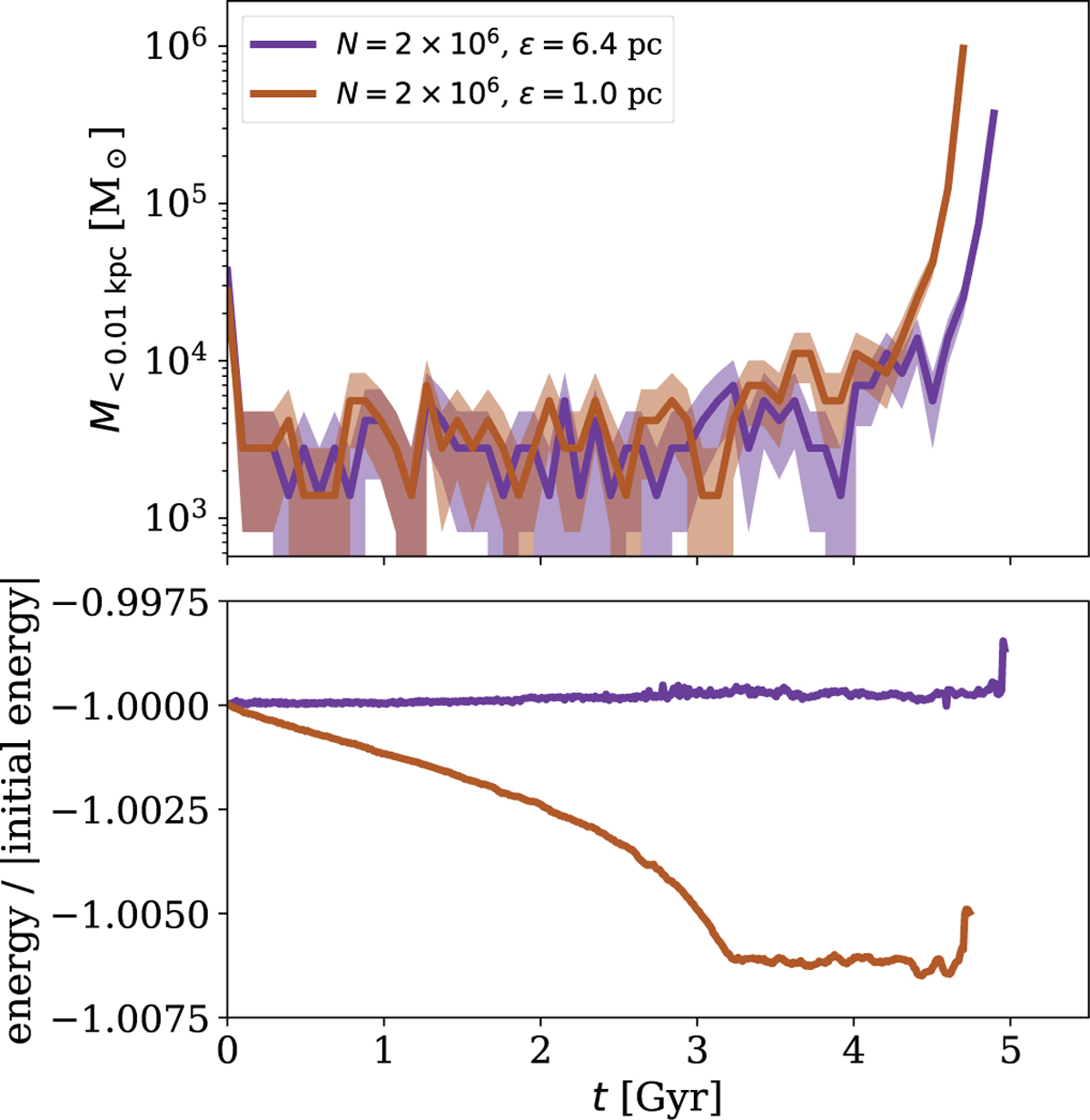
Impact of energy conservation on the evolution time of the halo. Following Fig. 1, we show the enclosed mass within 10 pc (upper panel) and the energy conservation (lower panel) as a function of time. The shown simulations differ in softening length, causing differences in the accuracy of energy conservation (see explanations in Sect. 3.1). All parameters for the displayed simulations J and L are given in Table A.1.

Current usage metrics show cumulative count of Article Views (full-text article views including HTML views, PDF and ePub downloads, according to the available data) and Abstracts Views on Vision4Press platform.

Data correspond to usage on the plateform after 2015. The current usage metrics is available 48-96 hours after online publication and is updated daily on week days.

Initial download of the metrics may take a while.