Open Access

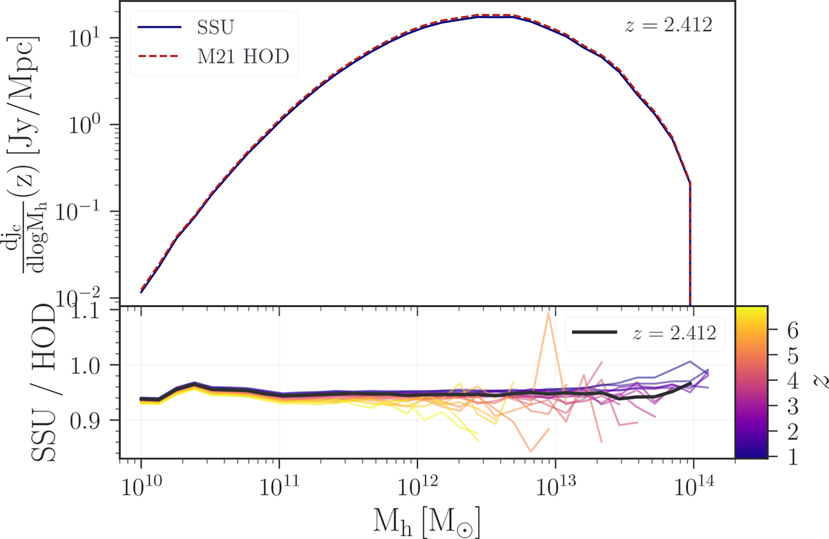
Fig. 6.

image

Download original image

Comparison of the differential emissivity predicted by the M21 HOD model (red line) and the SSU model (blue line) at z = 2.412. The bottom panel illustrates the ratio of the SSU model to the M21 HOD model at z = 2.412 (black line), alongside the ratios for other redshifts (represented by lines in various colors).

Current usage metrics show cumulative count of Article Views (full-text article views including HTML views, PDF and ePub downloads, according to the available data) and Abstracts Views on Vision4Press platform.

Data correspond to usage on the plateform after 2015. The current usage metrics is available 48-96 hours after online publication and is updated daily on week days.

Initial download of the metrics may take a while.