Open Access

Fig. 7.

image

Download original image

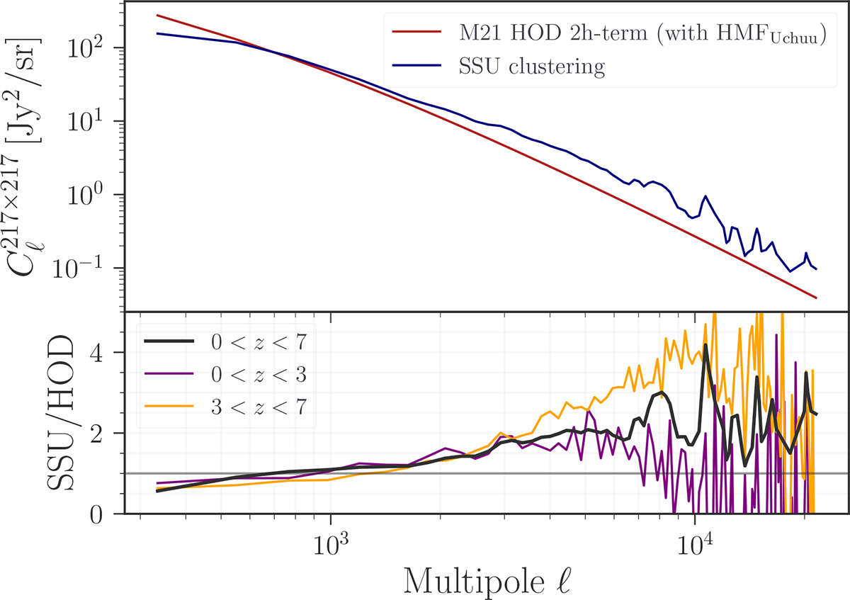
Comparison of the two-halo term from the M21 HOD model (red line) and the SSU (blue line), excluding subhalos. The bottom panel displays the ratio of the SSU to that of the M21 HOD model.

Current usage metrics show cumulative count of Article Views (full-text article views including HTML views, PDF and ePub downloads, according to the available data) and Abstracts Views on Vision4Press platform.

Data correspond to usage on the plateform after 2015. The current usage metrics is available 48-96 hours after online publication and is updated daily on week days.

Initial download of the metrics may take a while.