Open Access

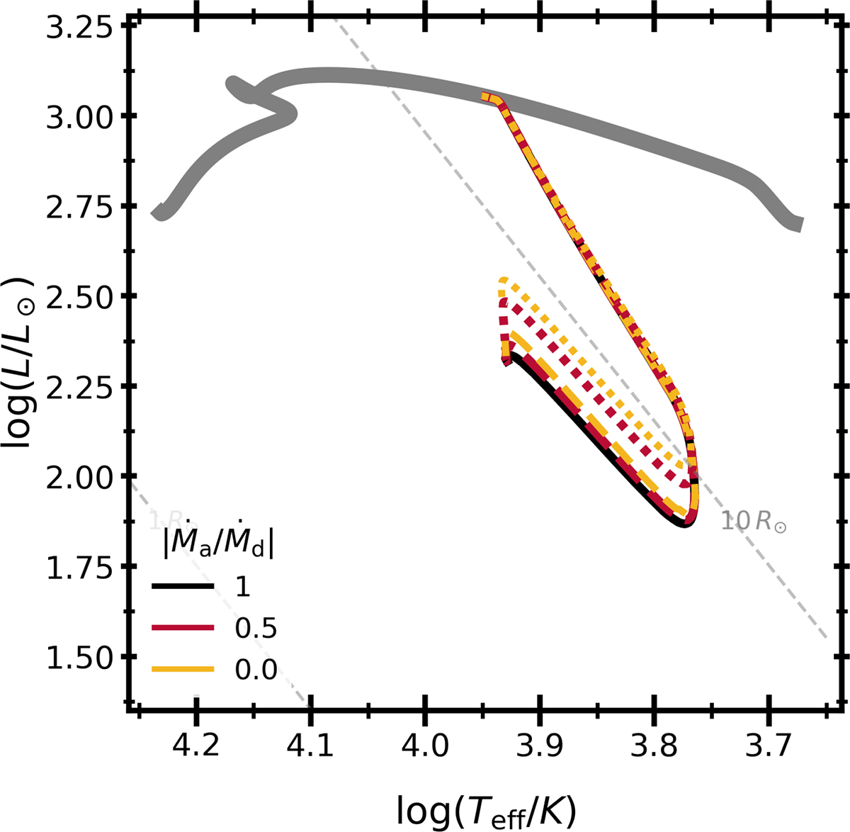
Fig. 5.

image

Download original image

HRD evolution for our representative binary system (Figure 1) under different assumptions for the mass-transfer efficiency. All non-accreted matter is taken to leave the system with the specific AM of either the accretor (dashed lines) or a circumbinary ring with a radius of 1.2 times the semi-major axis (dotted lines). The line colours correspond to different mass-transfer efficiencies, as indicated in the legend.

Current usage metrics show cumulative count of Article Views (full-text article views including HTML views, PDF and ePub downloads, according to the available data) and Abstracts Views on Vision4Press platform.

Data correspond to usage on the plateform after 2015. The current usage metrics is available 48-96 hours after online publication and is updated daily on week days.

Initial download of the metrics may take a while.