Open Access

Fig. 9

image

Download original image

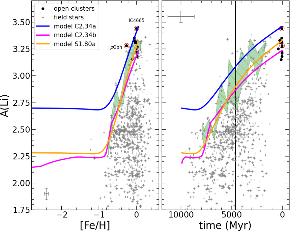
Li abundances of open clusters and field stars from the Gaia-ESO catalogue (Romano et al. 2021) as a function of metallicity (left panel) and stellar age (right panel). The models shown in Fig. 7 are also adopted in this plot. The grey error bars indicate the mean uncertainties. The shaded area indicates the defined envelope computed from the field stars. The black vertical line in the right panel is for an age of 4.6 Gyr.

Current usage metrics show cumulative count of Article Views (full-text article views including HTML views, PDF and ePub downloads, according to the available data) and Abstracts Views on Vision4Press platform.

Data correspond to usage on the plateform after 2015. The current usage metrics is available 48-96 hours after online publication and is updated daily on week days.

Initial download of the metrics may take a while.