Open Access

Fig. 2.

image

Download original image

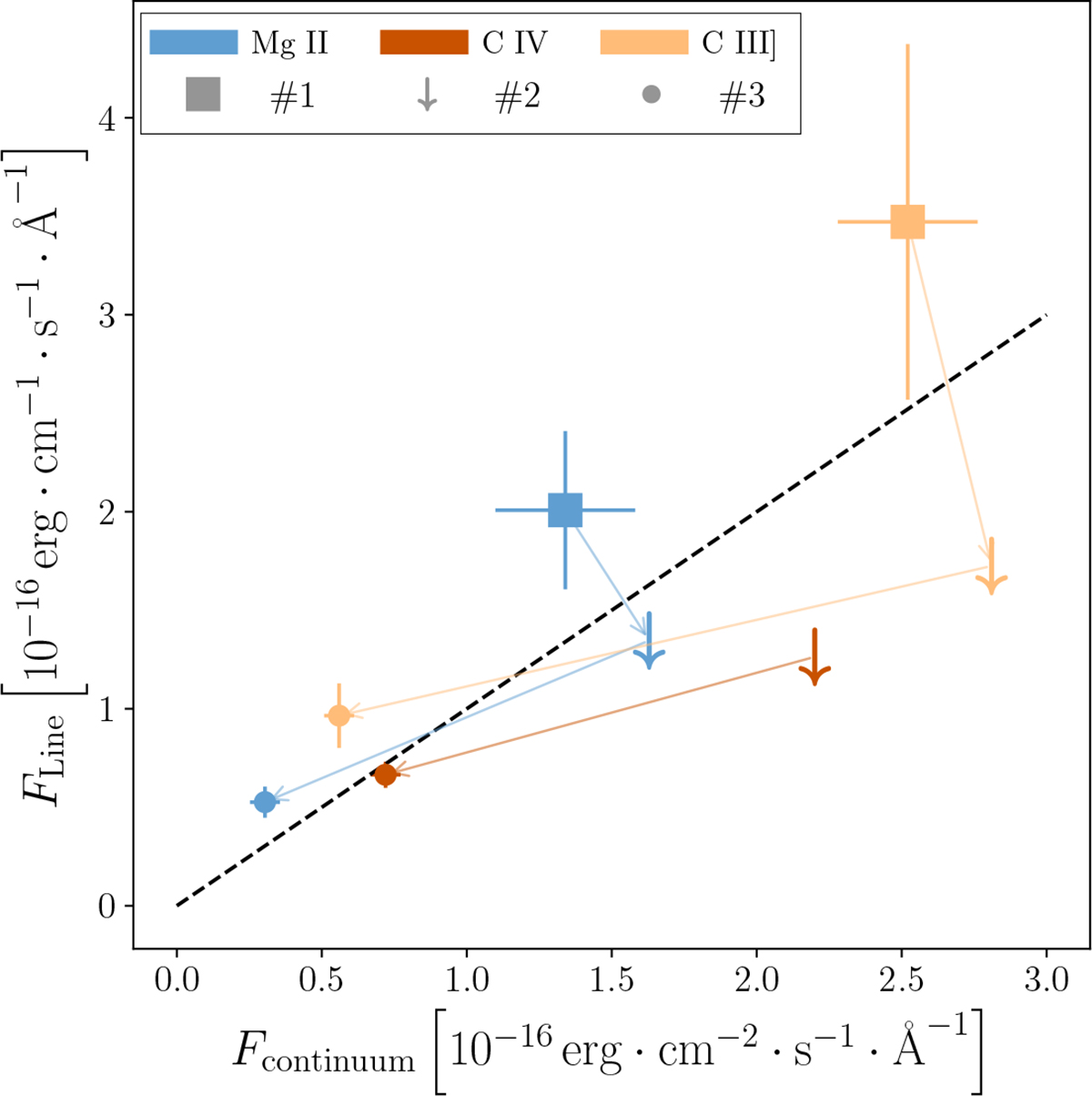
Variations in the emission line fluxes as a function of the underlying continuum level across the three epochs of 5BZQ J1243+4043. The values for Mg II, C IV, and C III emission lines are indicated in blue, brown, and yellow, respectively. The values corresponding to spectra #1 and #3 are indicated with a square and a filled circle, respectively, while the arrows show the limits derived for epoch #2. The dotted black line traces the diagonal, corresponding to equality.

Current usage metrics show cumulative count of Article Views (full-text article views including HTML views, PDF and ePub downloads, according to the available data) and Abstracts Views on Vision4Press platform.

Data correspond to usage on the plateform after 2015. The current usage metrics is available 48-96 hours after online publication and is updated daily on week days.

Initial download of the metrics may take a while.