Open Access

Fig. 6

image

Download original image

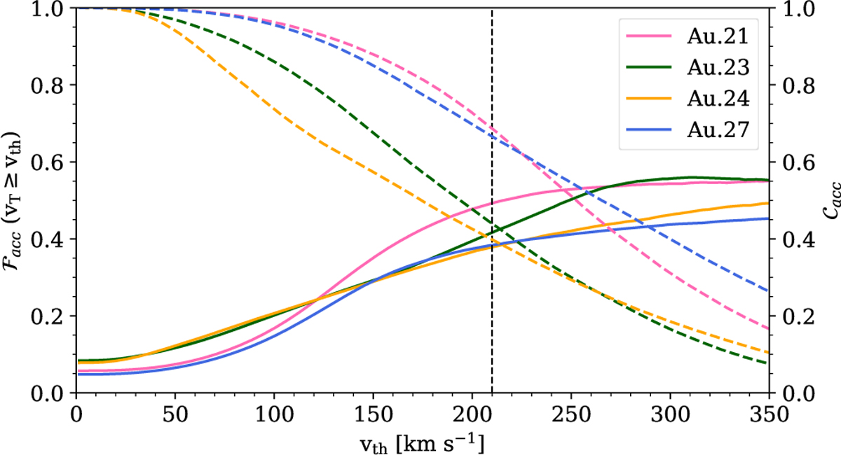
Fraction of accreted stellar particles (ℱacc, solid lines) in the solar vicinity with velocities above a given threshold velocity (Vth), for the four simulated galaxies. The dashed lines show the evolution of the completeness of accreted stellar particles (𝒞acc) as a function of the threshold velocity. The vertical dashed line indicates a velocity threshold of 210 km s−1, used to kinematically define the halo in the solar vicinity.

Current usage metrics show cumulative count of Article Views (full-text article views including HTML views, PDF and ePub downloads, according to the available data) and Abstracts Views on Vision4Press platform.

Data correspond to usage on the plateform after 2015. The current usage metrics is available 48-96 hours after online publication and is updated daily on week days.

Initial download of the metrics may take a while.