Open Access

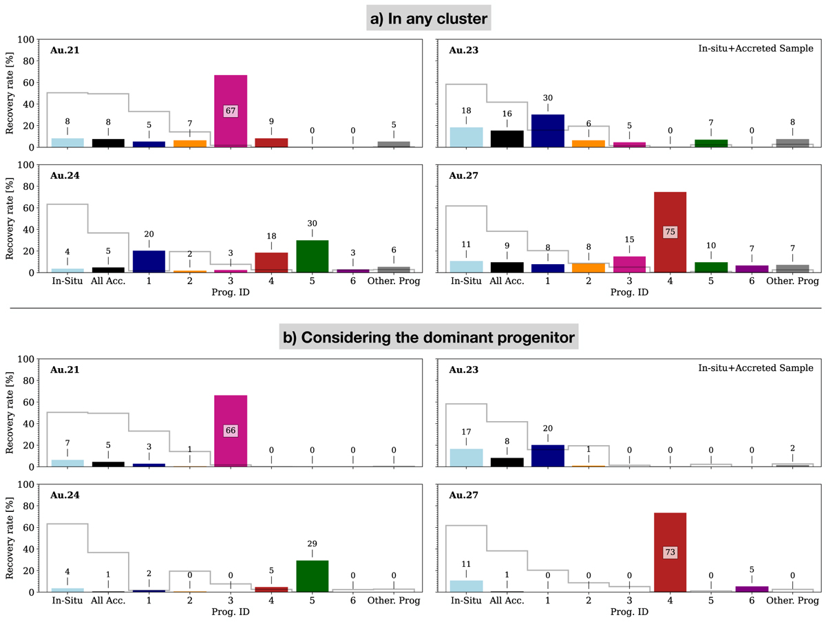
Fig. 9

image

Download original image

Percentage of stellar particles, separated by their birth environment, located in the kinematically selected halo in the solar vicinity identified as being part of any significant cluster (>3σ) by the single-linkage method (upper panels). The lower panels show the similar quantity but considering only the particles that belong to clusters where their progenitor is the dominant contributor to a given clump. In all panels, the grey histograms indicate the contribution of each progenitor to the solar vicinity halo. Note: the second bar represent the value of all the accreted stellar particles grouped together.

Current usage metrics show cumulative count of Article Views (full-text article views including HTML views, PDF and ePub downloads, according to the available data) and Abstracts Views on Vision4Press platform.

Data correspond to usage on the plateform after 2015. The current usage metrics is available 48-96 hours after online publication and is updated daily on week days.

Initial download of the metrics may take a while.