Open Access

Fig. 4.

image

Download original image

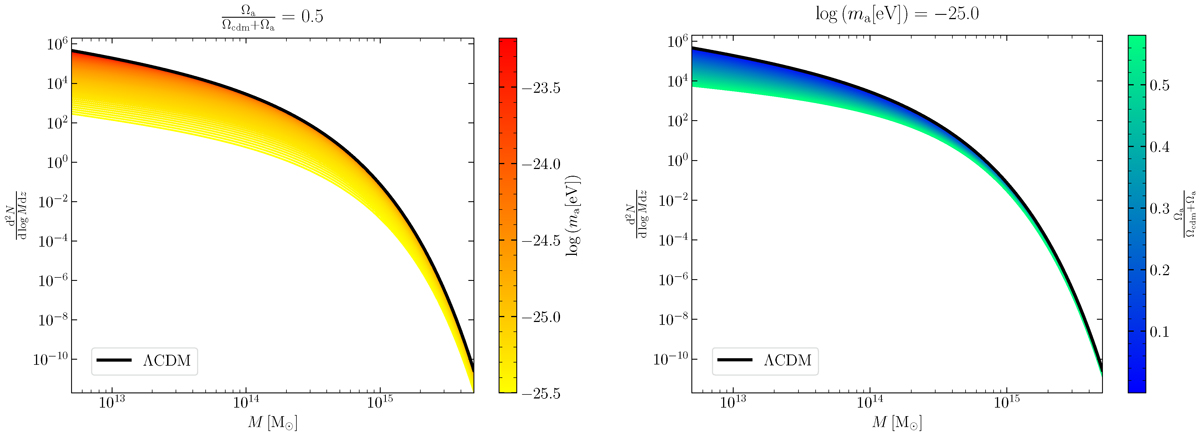
Halo mass function with Planck Collaboration VI (2020) cosmological values (ΩΛ ≈ 0.7, Ωm + Ωa ≈ 0.3) at z = 0.1 with a fixed relative ULA density of Ωa/(Ωcdm + Ωa) = 0.5 and varying ULA mass (left) and a fixed ULA mass of ma = 10−25 eV and varying ULA abundance (right) compared to the ΛCDM HMF (black). Low-mass halo suppression becomes stronger with decreasing ULA mass and increasing ULA abundance. For higher ULA masses of ma ≳ 10−24 eV, the HMF becomes indistinguishable from the one in a ΛCDM cosmology, as is the case for Ωa → 0.

Current usage metrics show cumulative count of Article Views (full-text article views including HTML views, PDF and ePub downloads, according to the available data) and Abstracts Views on Vision4Press platform.

Data correspond to usage on the plateform after 2015. The current usage metrics is available 48-96 hours after online publication and is updated daily on week days.

Initial download of the metrics may take a while.