Open Access

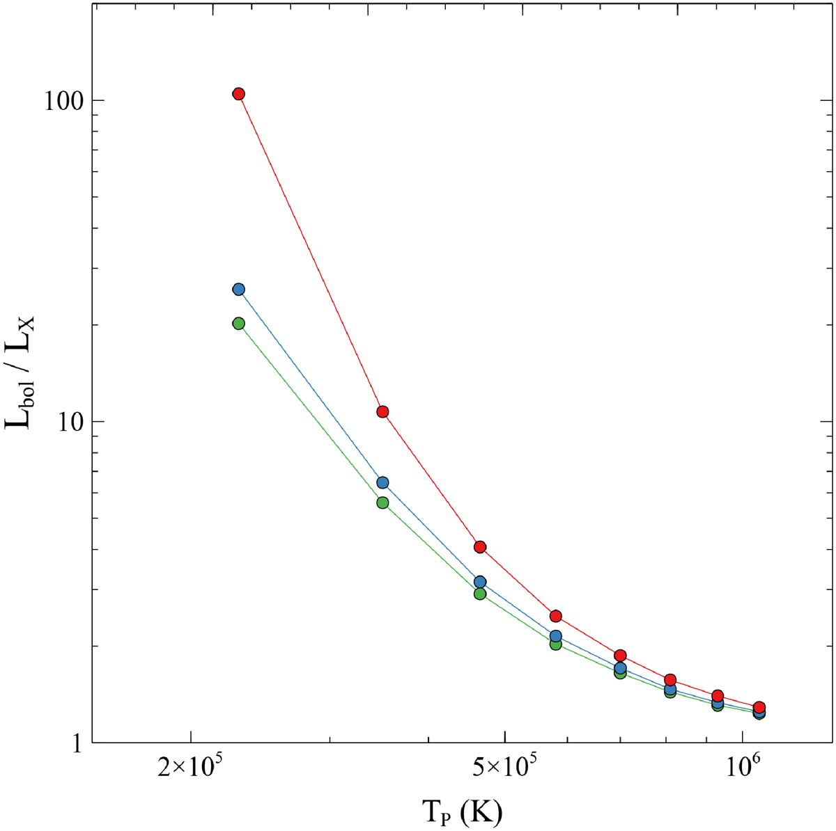
Fig. 8.

image

Download original image

Bolometric correction factor for 0.2–2 keV emission from a single temperature thermal spectrum (red) and a Comptonised thermal spectrum with electrons of temperature 2 keV and τ = 2 (blue) and 5 keV with τ = 1 (green), plotted against the peak temperature of the thermal component.

Current usage metrics show cumulative count of Article Views (full-text article views including HTML views, PDF and ePub downloads, according to the available data) and Abstracts Views on Vision4Press platform.

Data correspond to usage on the plateform after 2015. The current usage metrics is available 48-96 hours after online publication and is updated daily on week days.

Initial download of the metrics may take a while.