Open Access

Fig. 1.

image

Download original image

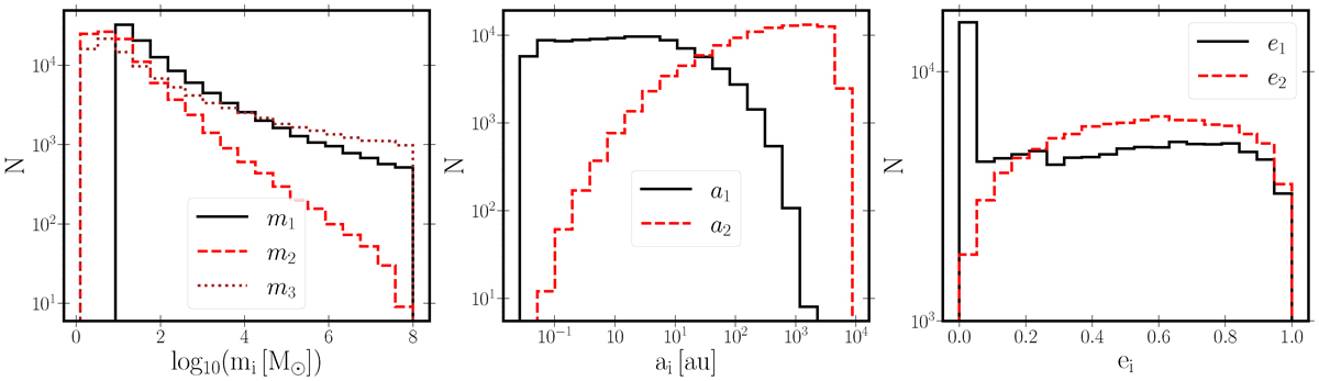
Initial parameter distributions. The left panel shows the mass distributions (mi), where m1 and m2 denote the masses of the inner binary components, and m3 represents the mass of the tertiary. The middle panel displays the semi-major axis distributions(ai) for the inner (a1) and outer (a2) orbits, respectively. The right panel illustrates the eccentricity distributions(ei) of the inner (e1) and outer (e2) orbits, respectively. (See Sect. 2.2 for more details).

Current usage metrics show cumulative count of Article Views (full-text article views including HTML views, PDF and ePub downloads, according to the available data) and Abstracts Views on Vision4Press platform.

Data correspond to usage on the plateform after 2015. The current usage metrics is available 48-96 hours after online publication and is updated daily on week days.

Initial download of the metrics may take a while.