Open Access

Fig. 3

image

Download original image

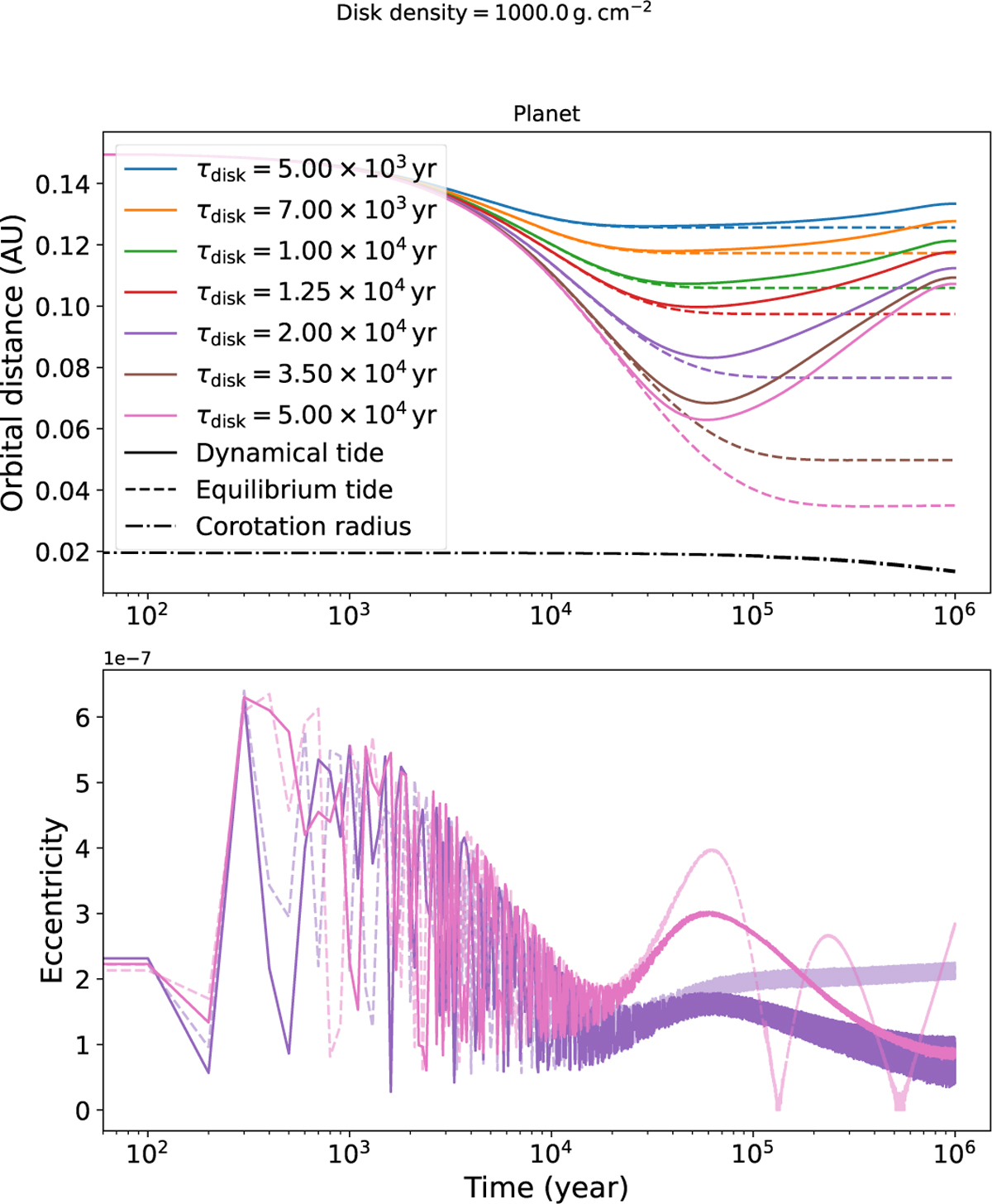
Evolution of the semimajor axis and eccentricity of a Jupiter-mass planet due to type II migration for different disk lifetimes τdisk and different assumptions on the stellar tide. The dashed lines correspond to the case where only the equilibrium tide in the star is accounted for; the solid lines correspond to cases where both the equilibrium tide and dynamical tide are taken into account (initial fast stellar rotation period of 1 day). We note that the rotation of the star is evolving, here mainly due to the contraction of the radius, and its evolution is encoded in the corotation radius curve (i.e., where the orbital frequency is equal to the stellar spin). For clarity, we only plot two cases in the bottom panel (τdisk = 2 × 104 yr and 5 × 104 yr). The equilibrium tide is still represented with dashed lines, but also with transparency to ease identification.

Current usage metrics show cumulative count of Article Views (full-text article views including HTML views, PDF and ePub downloads, according to the available data) and Abstracts Views on Vision4Press platform.

Data correspond to usage on the plateform after 2015. The current usage metrics is available 48-96 hours after online publication and is updated daily on week days.

Initial download of the metrics may take a while.