Open Access

Fig. 5

image

Download original image

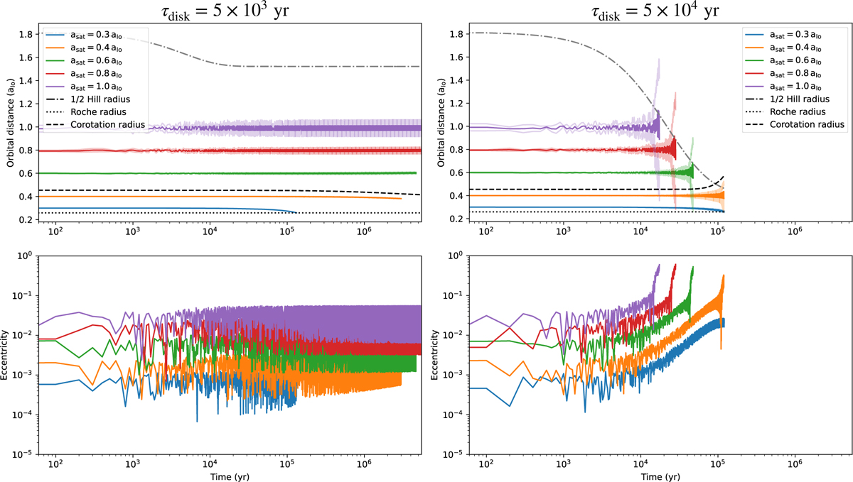
Same as the right column of Figure 4, but for a disk lifetime of 5 × 103 yr (left column) and 5 × 104 yr (right column). The top row shows the evolution of the orbital distance of the satellites and the bottom row shows the evolution of their eccentricities. For the left column, the final semimajor axis of the planet is 0.125 AU and for the right column, it is 0.035 AU. This difference can be visualized thanks to the gray dashed lines corresponding to one-half of the Hill radius of the planet, which comes much closer to the planet when the τdisk = 5 × 104 yr.

Current usage metrics show cumulative count of Article Views (full-text article views including HTML views, PDF and ePub downloads, according to the available data) and Abstracts Views on Vision4Press platform.

Data correspond to usage on the plateform after 2015. The current usage metrics is available 48-96 hours after online publication and is updated daily on week days.

Initial download of the metrics may take a while.