Open Access

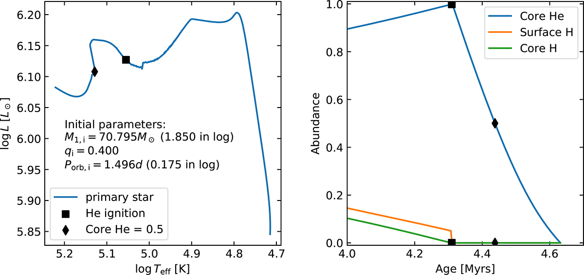
Fig. G.2.

image

Download original image

Example of our chemically homogeneous evolution model, with initial parameters indicated by text. The left panel presents the evolution of the chemically homogeneously evolving star on the Hertzsprung–Russell diagram, where the square and diamond mark helium ignition and the middle of helium burning. The right panel shows the chemical evolution of the chemically homogeneously evolving star as a function of its age. The blue, orange, and green correspond to the evolution of core helium, surface hydrogen, and core hydrogen.

Current usage metrics show cumulative count of Article Views (full-text article views including HTML views, PDF and ePub downloads, according to the available data) and Abstracts Views on Vision4Press platform.

Data correspond to usage on the plateform after 2015. The current usage metrics is available 48-96 hours after online publication and is updated daily on week days.

Initial download of the metrics may take a while.