Open Access

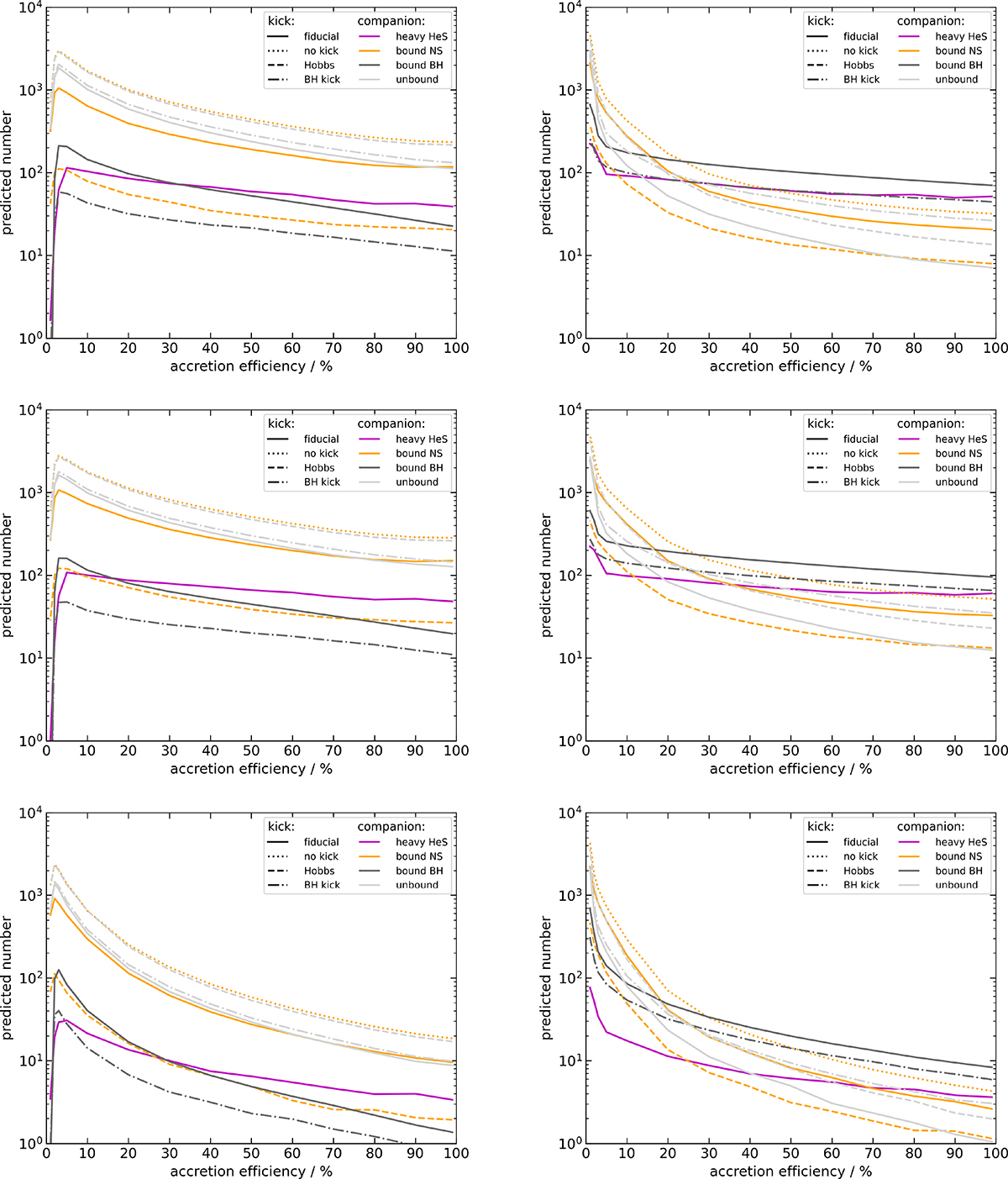
Fig. B.1.

image

Download original image

Predicted number of OBe (left) and normal OB star (right) companions (colour) and different kick scenarios (line style) as a function of mass-transfer efficiency for initially flat binary distributions (top), Sana et al. (2012, middle), and Dunstall et al. (2015, bottom).

Current usage metrics show cumulative count of Article Views (full-text article views including HTML views, PDF and ePub downloads, according to the available data) and Abstracts Views on Vision4Press platform.

Data correspond to usage on the plateform after 2015. The current usage metrics is available 48-96 hours after online publication and is updated daily on week days.

Initial download of the metrics may take a while.