Open Access

Fig. 6.

image

Download original image

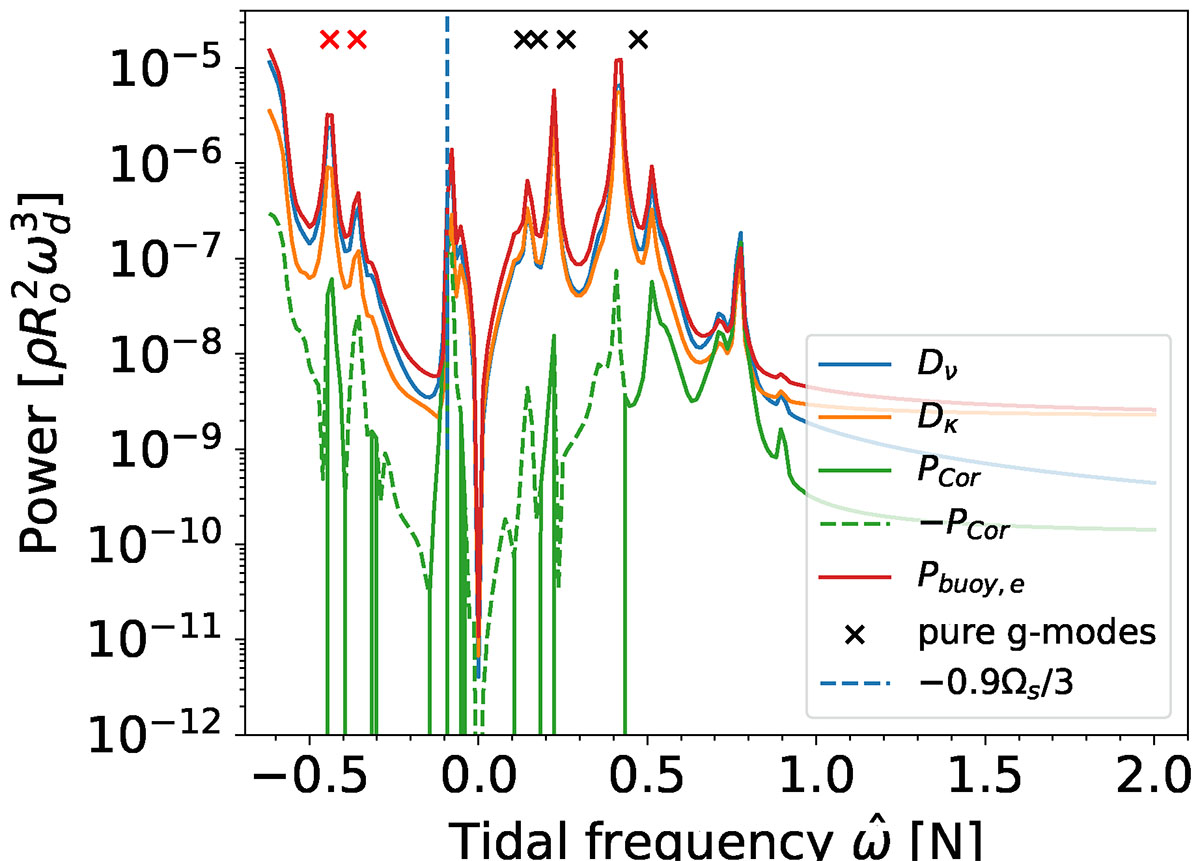
Power and dissipation balance of the tidally excited fluid motions as a function of the tidal forcing frequency, ω ̂ $ \hat{\omega} $, with the split formulation of the tidal forcing with Ns = 3.24. Similar to Fig. 3, the pure g-mode frequency (Eq. (33)) is designated by crosses.

Current usage metrics show cumulative count of Article Views (full-text article views including HTML views, PDF and ePub downloads, according to the available data) and Abstracts Views on Vision4Press platform.

Data correspond to usage on the plateform after 2015. The current usage metrics is available 48-96 hours after online publication and is updated daily on week days.

Initial download of the metrics may take a while.