Open Access

Fig. 1.

image

Download original image

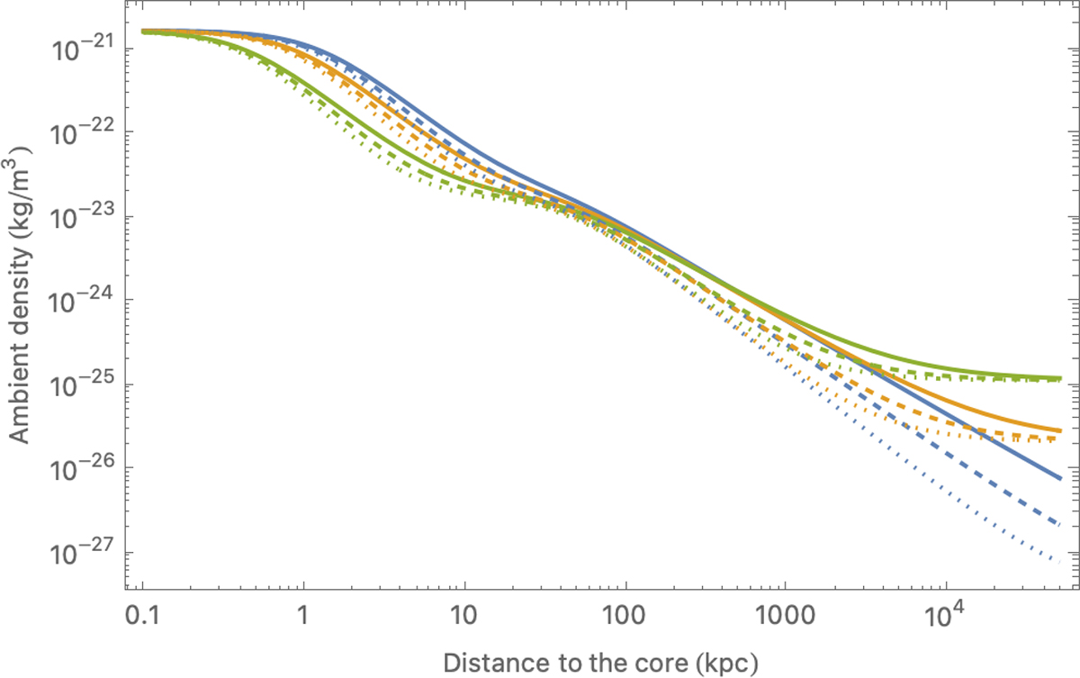
Ambient density profiles for different redshifts (z = 0 in blue, z = 3 in orange and z = 6 in green) and for different values of the exponents β (βg = −1.6 and βc = −1.1 in solid curves, βg = −1.8 and βc = −1.3 in dashed curves, and βg = −2 and βc = −1.5 in dotted curves). The radius of the core at z = 0 are fixed at ag, 0 = 1.25 kpc and ac = 45 kpc, and the central densities at ρg, 0 = 1.673 × 10−21 kg/m3 (≈1 proton/cm3) and ρc, 0 = 1.673 × 10−23 kg/m3 (≈0.01 proton/cm3).

Current usage metrics show cumulative count of Article Views (full-text article views including HTML views, PDF and ePub downloads, according to the available data) and Abstracts Views on Vision4Press platform.

Data correspond to usage on the plateform after 2015. The current usage metrics is available 48-96 hours after online publication and is updated daily on week days.

Initial download of the metrics may take a while.