Open Access

Fig. 4.

image

Download original image

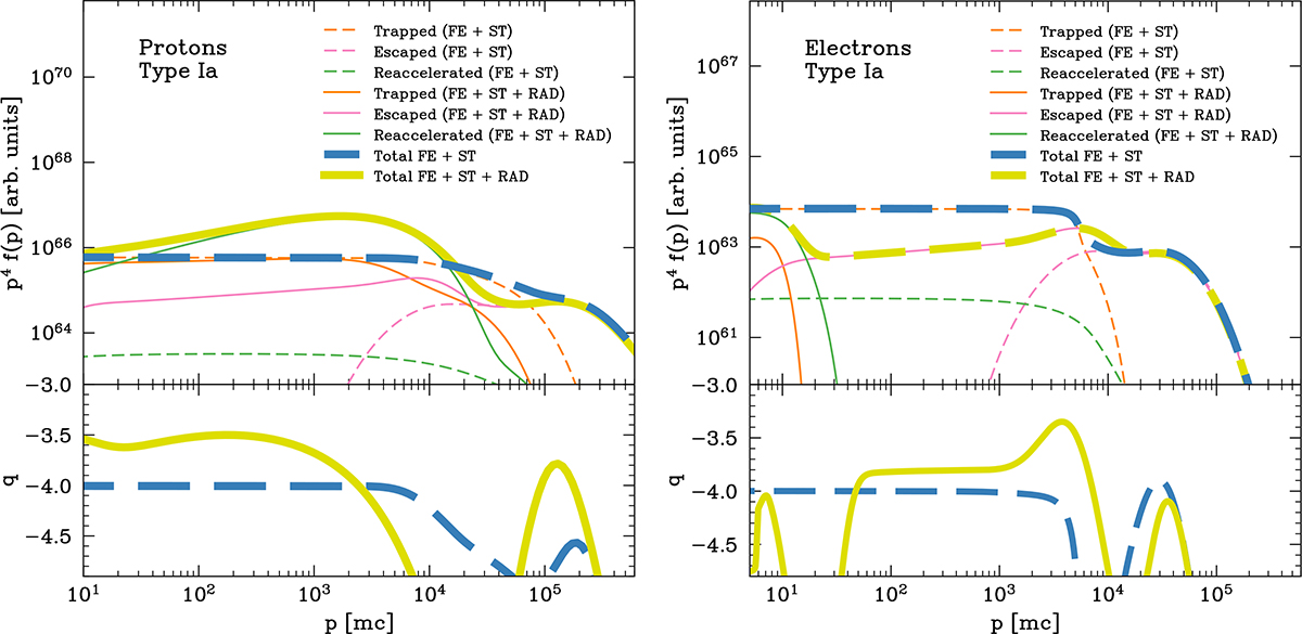
Protons (left panel) and electrons (right panel) accelerated throughout the life of an SNR from a Type Ia SN. The thin orange, pink, and green lines correspond to the particles trapped inside the SNR, escaping the SNR, and reaccelerated from the Galactic CRs, respectively. The dashed lines correspond to the FE and ST phases, while the solid lines additionally take into account the radiative (RAD) phase. The thick dashed blue line corresponds to the total contribution of the FE and ST phases. The thick solid lime line corresponds to the total contribution of the FE, ST, and RAD phases. The bottom panels show the slope of the spectrum sum of all components, for the ST and FE phase (dashed blue), and including the radiative phase (solid lime).

Current usage metrics show cumulative count of Article Views (full-text article views including HTML views, PDF and ePub downloads, according to the available data) and Abstracts Views on Vision4Press platform.

Data correspond to usage on the plateform after 2015. The current usage metrics is available 48-96 hours after online publication and is updated daily on week days.

Initial download of the metrics may take a while.