Open Access

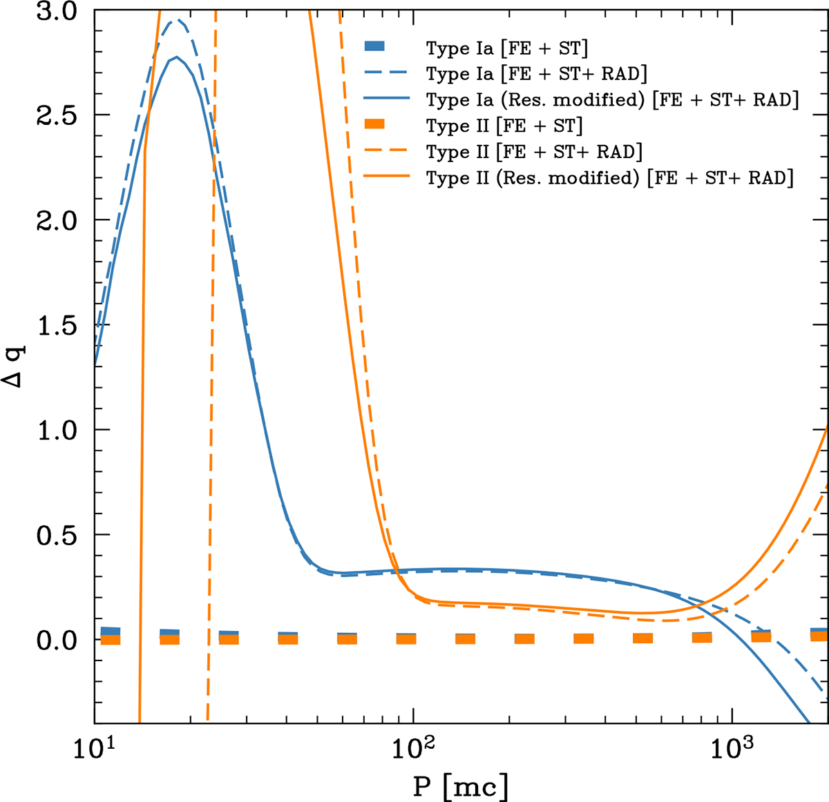
Fig. 7.

image

Download original image

Electron–proton spectral index difference, Δq = qelectrons − qprotons, for Type Ia (blue lines) and Type II (orange lines). The thick lines correspond to the results considering the FE and ST phases, the thin solid lines additionally include the radiative phase considering Bell prescription for the magnetic field, and the dashed lines considering the resonant modified prescription for the magnetic field.

Current usage metrics show cumulative count of Article Views (full-text article views including HTML views, PDF and ePub downloads, according to the available data) and Abstracts Views on Vision4Press platform.

Data correspond to usage on the plateform after 2015. The current usage metrics is available 48-96 hours after online publication and is updated daily on week days.

Initial download of the metrics may take a while.