Open Access

Fig. 4.

image

Download original image

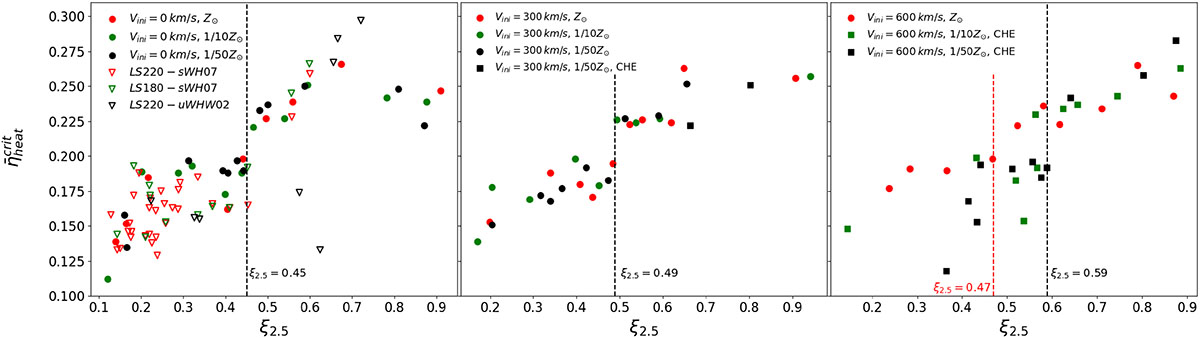
Compactness parameter ξ2.5 vs. the critical model time-averaged heating efficiency η ¯ heat crit $ \bar{\eta}_{\mathrm{heat}}^{\mathrm{crit}} $. The left, center, and right panels correspond to initial velocities Vini = 0, 300 km s−1, and 600 km s−1, respectively. The data points in red, green, and black denote metallicities Z, 1/10 Z, and 1/50 Z. The squares mark the occurrence of CHE. The hollow inverted triangles were calculated by O’Connor & Ott (2011), and the combinations of EOS and models LS220-sWH07, LS180-sWH07, and LS220-uWHW02 are represented in red, green, and black, respectively.

Current usage metrics show cumulative count of Article Views (full-text article views including HTML views, PDF and ePub downloads, according to the available data) and Abstracts Views on Vision4Press platform.

Data correspond to usage on the plateform after 2015. The current usage metrics is available 48-96 hours after online publication and is updated daily on week days.

Initial download of the metrics may take a while.