Open Access

Fig. 16.

image

Download original image

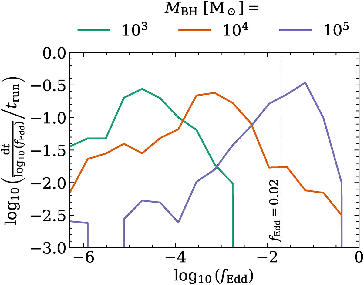
Fraction of time spent at various Eddington fractions (fEdd = BH/Edd) for MBHs of different initial masses (same simulations as in Fig. 15). As a reference, the limit for the radiatively efficient regime fEdd = 0.02 (see Sect. 2.4.1 for more details) is indicated by a dashed black line.

Current usage metrics show cumulative count of Article Views (full-text article views including HTML views, PDF and ePub downloads, according to the available data) and Abstracts Views on Vision4Press platform.

Data correspond to usage on the plateform after 2015. The current usage metrics is available 48-96 hours after online publication and is updated daily on week days.

Initial download of the metrics may take a while.